分類
長方錐
底面為長方形的四角錐。
正四角錐
底面為正方形的四角錐。通常是指側邊同時還是等腰三角形的四角錐。
特別地,側面也為正三角形的正四角錐是一種詹森多面體。
凹四角錐
底面凹四邊形的四角錐。底面邊有交叉的也屬於凹四角錐(嚴格來說,應成為非凸四角錐)稱為交叉四角錐,其中星形台塔可以分割成數個交叉四角錐。
詹森多面體
在詹森多面體當中J是一個以正方形為底並和其它四個正三角形所構成的四角錐,是詹森多面體中構造最簡單的一個,形似金字塔。同時它也是柏拉圖立體中正八面體的一半 。最早在1966年首先被諾曼·詹森命名和描述。
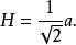
J共有8個邊、5個面、5個頂點。若設其一邊為a,體積為V,高為H,則:
四角錐
四角錐
四角錐相關多面體
正八面體可由兩個Johnson多面體中的J底面對底面疊在一起組成。
圖1.正八面體四角化六面體(Tetrakis Hexahedron)為卡塔蘭立體的其中一個,可由一個正方體的每一面疊一個正四角錐組成。
稜錐體分為正二稜錐、正三稜錐、正四稜錐、正五稜錐和圓錐等。
錐體形式鑲嵌系列如下:
| 球面鑲嵌 | 錐體 | 歐式鑲嵌 仿緊空間 | 雙曲鑲嵌 非緊空間 | |||||||||
一角錐 | 二角錐 | 三角錐 | 四角錐 | 五角錐 | 六角錐 | 七角錐 | 八角錐 | 九角錐 | 十角錐 | ... | 無限角錐 | 超無限角錐 |

