雙錐台的形狀
一般來說雙錐台具有2n個梯形,2n個多邊形,並且對偶為雙角錐柱。
圖1.雙三角錐台:6個梯形、2三角形,對偶為雙三角錐柱
圖2.雙四角錐台:8個梯形、2正方形,對偶為雙四角錐柱
圖3.雙五角錐台:10個梯形、2五邊形,對偶為雙五角錐柱
圖4.雙六角錐台: 12個梯形、2六邊形,對偶為雙六角錐柱公式
體積公式
稜台或圓台的體積是原立體圖形的體積減去被截去部分的體積:
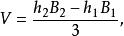
雙錐台B指一個底面的面積,B指另一個底面的面積,andh,h指原頂點分別到兩底面的面積。考慮到:
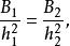
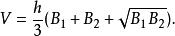
雙錐台這個體積也可用平截頭體的高h=h−h與兩底面面積的希羅平均數表達:
雙錐台亞歷山大里亞的希羅推導出了這個公式並且憑藉它遇到了虛數。
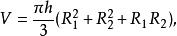
特別地,圓台的體積是:
雙錐台π等於3.14159265...,R,R是兩底面的半徑。
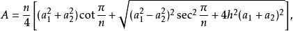
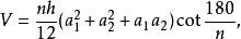
底面為n邊形的稜台的體積是:
雙錐台a與a是底面的邊長。
表面積公式
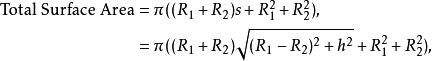
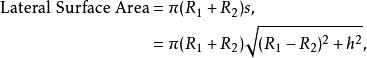
對於一個正圓台,
雙錐台
雙錐台LateralSurfaceArea指側面積,TotalSurfaceArea指總面積, Rand R為底面半徑, s為平截頭體的斜高。一個底面為正n邊形的正稜台的表面積是:
雙錐台a與a是兩底面的邊長。

