狹義相對論的定義
設有一不變質量為 m的粒子( m> 0),其四維動量P為
四維力
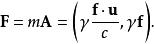
四維力 其中四維速度; c為光速,u乃是尋常概念中的三維空間速度。
而四維力F的定義則為四維動量對粒子原時的微分:
四維力 將牛頓第二定律擴充,我們可以將四維力與四維加速度A作關聯:
四維力 在這裡可得如下關係式:
四維力 以及
四維力 上述u、p與f為三維向量,分別描述粒子的速度、動量與作用力。
廣義相對論的調整
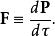
在廣義相對論中,四維力與四維加速度的關係式不變,然而四維力與四維動量的關係則需從對原時的一般導數改成協變導數:
四維力 此外,我們亦可透過座標轉換的觀念來推導不同座標系之間的力。設有一座標系而粒子在此座標系中暫時靜止,假設我們知道的力的正確表示式,則我們可以透過座標轉換得到另一個座標系中的力的表示式。 在狹義相對論中,這個座標變換是勞侖茲變換;在廣義相對論中,則是廣義座標變換。
四維力 考慮四維力 作用在一質量為m的粒子,此粒子在一座標系統中暫時靜止。
四維力
四維力
四維力
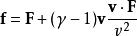
四維力 相對論中的力 在另個以固定相對速度v的座標系中遵守勞侖茲變換: ,而 ,其中 為速度除以光速。
廣義相對論中,四維力表示式變成:
四維力
四維力 其中 為協變導數。
運動方程式變成:
四維力
四維力 其中 為克里斯多福符號。若無外加力,則變成彎曲時空中的測地線方程式。上式中的第二項所扮演的角色是重力場所造成的“力”。
四維力
四維力
四維力 若 是自由落體參考系 之中力的正確表示式,我們可以使用等效原理來描寫任意座標系 之中的四維力:
四維力 案例
狹義相對論中,四維勞侖茲力(電磁場對帶電粒子作用的四維力)可以表示為:
四維力
四維力
四維力 其中, 為電磁張量,q為電荷, 為四維速度。
相關條目
• 四維向量
• 四維速度
• 四維加速度
• 四維動量

