簡介
哨聲電離層和磁層中因磁場排列的電離不均勻性所形成的哨聲。
極地哨聲和地磁脈動關係密切,很早以來,人們就注意到哨聲發生率與地磁活動的關係。在極區,哨聲活動與地磁活動呈負相關,而在其餘緯度上,哨聲活動隨地磁指數的升高而增加。
南極長城站夏季哨聲活動與地磁指數也有密切關係,一般在磁擾後1~3天哨聲發生率達到極大值,而此時的色散值則似有下降趨勢。
正文
雷電激發的電磁波的聲頻部分能以近似縱向的右旋非常波模式穿透電離層,並近似地沿地球磁場的磁力線在兩個半球的磁共軛點之間傳播(圖1)。由於它處於音頻範圍(通常在500赫到10千赫),在地面或衛星上可接收到不同頻率的、時延不同、類似口哨的聲音,故稱哨聲。哨聲一般持續時間約從十分之幾秒(對應於在衛星上或低緯度地面接收)到幾秒(對應於高、中緯度地面接收)。
哨聲
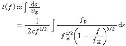
哨聲哨聲的傳播路徑經過電離層和磁層,因此,在地面或衛星上接收到的哨聲中,包含有許多有關磁層和電離層的信息。在高、中緯度地區,哨聲沿地磁場傳播並遵守縱向傳播規律。傳播時間可由下式決定:式中 vg為群速度;d s為沿地磁場傳播路徑元; c為光速; f為頻率; fH為電子迴旋頻率; fP為等離子頻率。在頻率 f與傳播時間 t的曲線上,有一對應傳播時間最小的頻率,稱為鼻頻 fn(圖2),它大致正比於傳播路徑頂點(即赤道面)的電子迴旋頻率。
哨聲對於低緯度地區, fH>> f,上式變為傳播時間與頻率的平方根成反比,稱為埃克斯利定律。對應於一定的傳播路徑, fP及 fH為一定值,故可用下式表示上述關係(圖3):
哨聲
哨聲D稱為色散值(秒1/2)。低緯度地區的哨聲色散值為10~50秒1/2。
哨聲研究是利用天然發射源和甚低頻電磁波傳播特性發現磁層特徵的一個範例。例如,斯托雷在1953年預言在 F層以上有高電子密度的電漿。R.A.海涅維爾和D.L.卡彭特等分別在1956年和1962年發現了鼻頻和等離子層頂關係等。在國際地球物理年(1957~1958年),約有50個哨聲站分布在從極區到赤道的範圍內進行觀測。美國在南極開展包括天然哨聲和人工甚低頻發射產生哨聲模電磁波的研究。中國、日本在低緯度哨聲方面的研究也取得一些新的進展。
![哨聲[雷電激發的電磁波的聲頻] 哨聲[雷電激發的電磁波的聲頻]](/img/b/f90/wZwpmLz91N3ITMzMjMwMTM4ATOxEDMwADMwADMwADMwATMw8yMx8yN38SbvNmLn52bk92bo5Cd0FmLxE2LvoDc0RHa.jpg)
