定義
哈托格斯定理是給出多複變函數成為全純函式所需的最弱條件的命題。
哈托格斯定理
哈托格斯定理
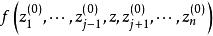
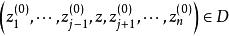
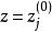
哈托格斯定理設n≥2,D是C 中的域,f=f(z,z,...,z)是D上的單值函式。哈托格斯定理定理斷言:如果對於任意j(1≤j≤n)和任意一點 ,單複變函數 在點 全純,則f在D上為全純函式。
推論
複平面上任何單連通的開集上都存在一個單複變函數,它不能延拓到這個開集之外--滿足這種性質的開集叫做全純域。但是在多複變函數里卻發生了奇特的現象:有一些開鄰域,它們上面的任何全純函式都可以延拓到外面去。這種現象稱為 哈托格斯現象。 如果一個開鄰域不能發生 哈托格斯現象,我們就成這個鄰域為全純域。
哈托格斯花了很大的力氣才證明:多複變函數全純若且唯若它對每個自變數都是全純的。 這個結論看似簡單,實則難矣。迄今為止,人們都沒有找到一個簡化的證明。
相關概念
多複變函數
自從複變函數的理論被廣泛套用於數學的各個分支後,人們自然想把複分析推廣到任何多個自變數,以及任何多個因變數的復向量值函式上。多複變函數就是研究這類推廣的複變函數。
全純函式
全純函式是復理論研究的核心之一,它們是複流形到 C 的處處可微函式。
哈托格斯定理
哈托格斯定理
哈托格斯定理
哈托格斯定理
哈托格斯定理設開子集且是一個單複變函數,稱在( 復)可微或全純,如果極限存在。
哈托格斯定理
哈托格斯定理
哈托格斯定理
哈托格斯定理若在中處處可微,則稱在上 全純。
