背景
孤島效應指當電網斷電時,由光伏發電、風力發電、燃料電池發電等組成的分散式電源併網發電子系統繼續工作,並與周圍的負載形成一個自給供電的孤島系統。孤島效應的發生對人員和用電設備會帶來潛在的危險。近年來,隨著越來越多的分散式電源併網發電系統的套用,發生孤島效應的機率也就越來越高,因此,如何避免發生孤島問題顯得尤為重要。
通常,孤島檢測方法分為2 類:被動檢測法和主動擾動法。當負載所需功率與分散式電源提供功率平衡時,即使發生孤島效應,由於公共耦合點電壓的幅值和頻率一直處於非檢測區,所以單純依靠被動檢測法無法識別,必須引入主動擾動的檢測方法。主動擾動法中,主動頻率偏移法因其獨特的優點得到越來越廣泛的關注和套用。然而,經典的主動頻率偏移法,存在不可測量的非檢測區問題。
根據經典的主動頻率偏移法存在電流頻率向上偏移或向下偏移的情況 ,提出一種新的擾動電流方法,通過電壓頻率是否周期性高低交替變化來判斷孤島效應,可以有效地解決非檢測區問題。
周期交替電流擾動法
工作原理
周期電流擾動孤島檢測基於周期交替電流擾動的孤島檢測方法如圖所示。對前一個電壓周期,正負半周擾動電流對稱,且電流頻率比電壓頻率略快。為了保持電流與電壓同步,在電流正負半周末章節附注入零電流t區間。當發生孤島效應時,這樣做可以促使電壓頻率向上偏移。對於相鄰的後一個電壓周期,正負半周擾動電流同樣是對稱的,不過,擾動電流頻率比電壓頻率略慢。為了保持電流與電壓同步,在電壓正負半周末尾斬掉電流t區間。當發生孤島效應時,可以促使電壓頻率向下偏移。由此可見,逆變器輸出電流在與公共耦合點電壓同步基礎上,總是周期交替地進行擾動。
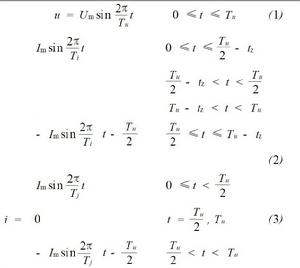
分散式電源逆變輸出的公共耦合點電壓u如下公式(1)所示。前一個電壓周期和相鄰的後一個電壓周期的擾動電流i 分別由式(2) 、式(3) 表示。
周期電流擾動孤島檢測式中:
t——是擾動時間常數;
T——是電壓周期;
T ,T j——分別是相鄰的擾動電流周期,為了方便描述,把相鄰的前後2 個周期稱為T 周期和T 周期;
周期電流擾動孤島檢測
周期電流擾動孤島檢測正常供電時,由於電網容量很大,因此耦合點電壓不受畸變電流影響,相鄰周期電壓頻率相同。即使上述電壓頻率有微小差別,也是隨機發生的。電網斷電後,若本地負載固有頻率小於電網頻率,則耦合點電壓頻率向減小方向變化;相反,則耦合點電壓頻率向增大方向變化。經過一定過渡過程之後,由於周期交替電流擾動的作用,勢必引起相鄰周期電壓頻率呈高低交替變化趨勢,因此通過檢測耦合點電壓頻率高低交替變化來判斷,而不是單純依靠檢測是否超出電壓頻率允許範圍判斷孤島現象是否發生。
tz的選擇
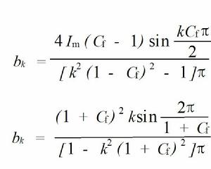
電流斬波率用C表示,則C = 2t/ T ,分別對式(2) 和式(3) 表示的逆變器輸出參考電流進行傅立葉級數展開,由於相鄰周期的電流都是奇函式,因此可得:
周期電流擾動孤島檢測式中: k = 1 ,3 ,5 ⋯。
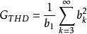
總諧波畸變率G為:
周期電流擾動孤島檢測當C = 0.01 時, T和T周期的畸變率分別約為0.99 %和1.02 %;
當C = 0.03 時,畸變率分別為2.88 %和3.11 %。
當參數t 較大時,容易分辨相鄰周期頻率差,但是此時注入電網諧波含量較高; 反之,系統可能誤動作。
結論
針對被動檢測法與主動頻率偏移法的非檢測區問題,以公共耦合點電壓為同步基準,提出了一種新型的周期電流交替擾動的孤島檢測方法。
該方法的特點是:當電壓頻率處於非檢測區內時,通過相鄰周期電壓頻率差是否交替正負變化來判斷孤島現象。與經典的主動頻率偏移法相比,耦合點電壓頻率變化速度較慢,同時存在多台逆變器併網運行時同步方法較複雜的缺點,但是該方法可以有效地解決處於非檢測區的本地孤島問題。因此,將該方法與經典的主動頻率偏移法相結合,即先採用經典的主動頻率偏移法進行電流擾動,經過一定周期後,耦合點電壓仍然處於非檢測區內,則再採用所提出的方法進行檢測,將可能獲得更加可靠、快速的孤島保護效果。

