基本信息
中文名稱:周圍劑量當量
英文名稱:ambient dose equivalent
單位: J/kg;專用名:Sv。
在輻射防護監測中用於強貫穿輻射外照射監測的實用輻射量。輻射場中某一點的周圍劑量當量 H*( d)是該點相應的齊向擴展場在ICRU球內,逆向齊向場方向的半徑上,深度為 d處產生的劑量當量。這是一個有受體的表征輻射場性質的輻射量。ICRU建議,對強貫穿輻射, d為10mm;而對弱貫穿輻射, d為0.07mm。所謂ICRU球是由密度為1g·cm的組織等效材料做成的直徑為30cm的球。材料成分(按質量百分比)為氧76.2%,碳11.1%,氫10.1%,氮2.61%。 H*(10)大體上能反映處於該處的人體所受的有效劑量。對於X和γ輻射,測定的 H*(10)只能用於安排、指導和控制工作人員的操作,而個人劑量仍以個人劑量計的測量為準。原則上,一個具有各向同性回響的探測器,若用 H *(10)刻度過,即可在任意均勻的輻射場中用來測定周圍劑量當量。
計算公式
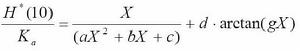
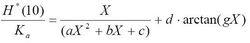
能量從20keV~10MeV的光子周圍劑量當量 H*(10)與自由空氣比釋動能 Ka的關係可按下式估計:
周圍劑量當量式中: H*(10)/ Ka的單位是Sv /Gy; X= ln( E/ E0), E為光子能量(keV); E0=9.85keV; a =1.465, b=-4.414, c=4.789, d=0.7006, g=0.6519;角度單位為弧度。
轉換係數
自由空氣比釋動能 Ka到周圍劑量當量 H *(10)的轉換係數:
| 光子能量 | H*(10)/ Ka |
| MeV | Sv /Gy |
| 0.015 | 0.26 |
| 0.020 | 0.61 |
| 0.030 | 1.10 |
| 0.040 | 1.47 |
| 0.050 | 1.67 |
| 0.060 | 1.74 |
| 0.080 | 1.72 |
| 0.100 | 1.65 |
| 0.150 | 1.49 |
| 0.200 | 1.40 |
| 0.300 | 1.31 |
| 0.400 | 1.26 |
| 0.500 | 1.23 |
| 0.600 | 1.21 |
| 0.800 | 1.19 |
| 1 | 1.17 |
| 1.5 | 1.15 |
| 2 | 1.14 |
| 3 | 1.13 |
| 4 | 1.12 |
| 5 | 1.11 |
| 6 | 1.11 |
| 8 | 1.11 |
| 10 | 1.10 |

