產生原因
一般採用頻率復用的技術以增加頻譜效率。當小區不斷分裂使基站服務區不斷縮小,同頻復用係數增加時,大量的同頻干擾將取代人為噪聲和其它干擾,成為對小區制的主要約束。這時移動無線電環境將由噪聲受限環境變為干擾受限環境。
圖1 干擾圖同頻干擾比
同頻干擾比即有用信號與同頻干擾信號幅度的比值,同頻干擾比決定於設備參數、傳播環境、通信機率、小區半徑、雙工方式、同頻復用距離等因素。
同頻再生距離
為了提高頻率利用率,在滿足一定通信質量的條件下,允許使用相同頻道的無線區之間的最小距離為同頻道再用的最小安全距離,簡稱同頻再用距離或共道再用距離。所謂“安全”系指接收機輸入端的有用信號與同頻干擾的比值必須大於射頻防護比。
信號電平及干擾強度不僅取決於距離,而且與設備參數、地形條件等因素有關。假設各基站與移動台的設備參數相同,地形條件也是理想的,同頻道再生距離與調製方式、電波傳播特性、基站的覆蓋範圍或小區半徑、通信工作方式以及所要求的可靠通信機率等因素有關。
干擾原理
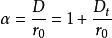
假設基站A和B使用相同的頻道,移動台M正在接收基站A發射的信號,由於基站天線高度大於移動台天線高度,因此,當移動台M處於小區邊沿時,易於受到基站B發射的同頻干擾。如果輸入到移動台接收機的有用信號與同頻道干擾之比等於射頻防護比,則A、B兩基站之間的距離即為同頻道再用距離。
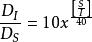
圖2中,Dt為同頻道干擾至被干擾接收機的距離,Ds為有用信號的傳播距離,即為小區半徑。
圖2 原理這樣:
同頻干擾
同頻干擾同頻道再用係數為:
同頻干擾通過對干擾信號和有效信號的分析,可以得:
同頻干擾式中S/I是射頻防護比。
若取射頻防護比為8dB,可得到:
同頻干擾或同頻再用距離為:
同頻干擾以上情況只考慮了來自一個小區基站的干擾,實際上,在小區制移動通信中,同頻干擾會來自周圍若干個小區。
同頻干擾可以採用限制同頻小區的間隔,來減小干擾。
解決方法
(1)發射功率不宜過大。在相鄰相行政區邊界地區2-3km處,用同軸電纜傳輸覆蓋,以減少MMDS服務區半徑。寧可以降低發射功率、採用加大接收天線增益的辦法來提高接收點的C/N;
(2)相鄰發射台採用不同極化方式;
(3)採用禁止法:根據微波信號對障礙物繞射差的特點,把接收天線系統設在周圍有山丘或樓房處,對干擾有禁止作用。或人為建一金屬禁止網,網孔徑r<λ/4,並良好接地;
(4)相鄰發射台的載頻採用2/3行頻(10KHz)偏置,或3MHz、4MHz(錯開幾MHz)偏置,可降低對同頻保護度要求;
(5)使用跳頻技術。
(6)使用裂向技術。
影響
同頻干擾就是指干擾信號的載頻與有用信號的載頻相同,因而對接收同頻有用信號的接收機造成的干擾。在CDMA網路中,同頻干擾是一個比較關鍵的問題,對提升CDMA系統的容量及其他關鍵指標有重要意義。在TD-SCDMA系統中,由於是時分系統,而且採用的擴頻碼較短,擴頻增益較小,所以同頻干擾危害更大。
在TD-SCDMA試驗網的建網初期,由於採用的是單頻點全網同頻組網,全網同頻干擾很嚴重,網路性能很差。後來採用了N頻點技術,但同頻干擾還是存在。TD-SCDMA網路同頻干擾對業務的主要影響是網路信號良好時用戶接入失敗率或掉話率較高,從而可能影響網路容量等。TD-SCDMA網路同頻干擾常見的問題有:有信號卻打不了電話,信號良好卻接不了電話,通話過程中話音斷斷續續,通話過程中突然掉話,圖片下載緩慢。

