定義
當兩個或多個干擾信號同時加到接收機時,由於非線性的作用,這兩個干擾的組合頻率有時會恰好等於或接近有用信號頻率而順利通過接收機,這種干擾就稱為互調干擾,其中三階互調最嚴重。
三階互調
非線性器件的輸出電流ic與輸入電壓u之間的關係如下:
互調干擾
互調干擾
互調干擾式中 為比例常數,通常
假設有兩個信號同時作用於非線性器件,即
互調干擾失真項表示為:
互調干擾各失真項都含有ωA和ωB的高次諧波分量,這些諧波分量通常遠離調諧頻率,不屬於互調頻率。
在n≥2,會出現各種頻率的組合,特別是n=3時,會出現ωA和ωB都接近於有用信號的頻率ω0,很容易滿足以下條件:
互調干擾
互調干擾這說明,以上頻率不僅可以落入接收機的通頻帶之內,而且可以在ωA和ωB都靠近ω0的情況下發生,因為接收機的輸入電路對頻率靠近其工作頻率的干擾信號不會有很大的抑制作用,因而這兩種組合頻率的干擾對接收機的危害比較大,通常把這兩種組合頻率的干擾稱為三階互調干擾。
其他干擾
既然會出現三階,當然也有更高階的互調,這些信號不也干擾原來的基帶信號么?其實因為產生的互調階數越高信號強度就越弱,所以三階互調是主要的干擾,考慮的比較多。不管是有源還是無源器件,如放大器、混頻器和濾波器等都會產生三次互調產物。這些互調產物會降低許多通信系統的性能。所表明的是確切含義是,一個線性系統所包含的非線性係數的大小。這個指標對於大動態放大器是一個非常重要的技術指標。測試這項指標使用的測試儀器主要是頻譜分析儀。對於不同指標要求的三階互調失真,需使用不同性能的頻譜分析儀,對三階互調失真要求越高,對頻譜分析儀的要求就越高。在60-70dB的三階互調失真,用Agilent的8591就可以分析。
互調干擾圖1 互調干擾
3.1發射機互調干擾
發射機互調干擾是基站使用多個不同頻的發射機(頻分多址(FDMA)系統)所產生的特殊干擾。由於多台發射機設定在同一地點時,無論它們是分別使用各自的天線還是共同使用一付天線,它們的信號都可能通過電磁耦合或其他途徑竄入到發射機中,從而產生互調干擾。由於發射機的末級功率放大器通常工作在非線性狀態,所以這種互調干擾通常發生在末級放大器中。
為了減少發射機互調干擾,可以採取以下一些措施:(1)儘量增大基站發射機之間的耦合損耗。各發射機分用天線時,要增大天線間的空間隔離度;在發射機的輸出端接入高質量的帶通濾波器,增大頻率隔離度;避免饋線相互靠近或平行敷設。(2)改善發射機末級功放性能,提高其線性動態範圍。(3)在共同天線系統中,各發射機與天線之間要插入單向隔離器。
3.2接收機互調干擾
接收機的互調干擾是指如果兩個或多個干擾信號同時進入接收機高放或混頻器,只要它們的頻率滿足一定的關係,則由於器件的非線性特性,就有可能形成互調干擾。為減輕接收機的互調干擾,可以採用以下措施。
高放和混頻器宜採用具有平方律的器件,接收機輸入迴路應具有良好的選擇性,如採用多級調諧迴路,以減少強幹擾進入高頻放大器。在接收機的前端加入衰減器,以減少互調干擾。
除上述各種干擾外,移動通信系統還將受到無線電系統的電磁干擾,其他無線電系統的電磁干擾指來自無線廣播、電視、雷達以及微波中繼通信系統等產生的電磁干擾,因為上述系統中使用的頻段有些與移動通信所用的頻段交叉在一起,來自這些無線電系統的電磁干擾,無論是基波或是諧波輻射,對移動通信都可能產生有害的影響。
雷達發射機是一種危害較大的干擾源,因為有很大的峰值功率(如幾MW),並且有較多的諧波,因此,對移動通信的影響也較大。
幾種互調干擾的比較
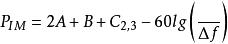
對於移動通信來說,三階互調是主要的,其中又以兩信號的三階互調的影響最大。接收機的互調干擾,可折算為同頻道干擾來估算其對通信的影響,即為了保證一定的接收信號質量,應當滿足:
互調干擾
互調干擾=8dB(3級話音質量)或者12dB(4級話音質量)
互調干擾式中:PSV為接收機的靈敏度(dBw);PIM為接收機的等效互調功率(dBw), 為射頻防護比。
互調干擾
互調干擾
互調干擾A和B分別為在接收機輸入端收到的來自各干擾發射機的功能, 是各干擾頻率偏離接收機標稱頻率的平均值(以MHz計), 為兩信號三階互調常數,約為-10dB。
危害性
人們對互調干擾有錯誤的認識,認為干擾是對別的尋呼台干擾,其實不然,互調干擾大概有以下幾種危害。
(1)對發射機的危害
當發信機調試好後,它的工作頻率fO是處在輸出電路的最佳諧振點上。這時電路的電流應是最小。反之,電路工作失諧,元件發熱嚴重,大大增加發信機的故障率,減少其壽命。
(2)降低有效功率
發射機的功率測量採用直通式功率計,有一定的頻寬(有的頻寬達1千MHz)。由於功率是頻譜能量的積分,所以,直通式功率計測出來的功率是有效主頻功率和無用的互調產物功率總和。如功率計顯示100W,有可能實際主頻fO的功率僅有80W。其餘20W是互調產物的功率以及雜波分量之功率(見圖2)。
互調干擾圖2
(3)畸變主頻fO的頻譜
主頻頻譜畸變後(見圖3),使Bp機收到射頻的信號,經解調,數據相位將發生嚴重的抖動,使BP機產生誤碼。(標準的抖動應小於1/4t)。結果是大大減少了系統覆蓋的範圍。
互調干擾圖3
(4)干擾空間電波秩序
互調產物也是由發射機發出的射頻能量信號,該信號與另一台發射機再次互調,還會產生另一個互調產物。所以,在發射機多的基站上空,有許許多多無序頻譜能量,有的人稱之為背景噪聲。這些信號,與其它差轉接收機頻率或尋呼Bp機頻率相同的機率非常之大。因而,治理由互調干擾引起空間電波秩序紊亂是刻不容緩的。
消除方法
合理地分配頻率資源,發射機與發射機之間拉開距離,是解決互調干擾最有力的方法。但是,由於頻率資源緊張,可安放基站的有利制高點也有限,從而使許多發射機擁擠在一塊,勢必產生空間污染。為此,國家無委[1998]101號檔案規定了尋呼發射機應加裝單向器或單向器與濾波器的組合器件,以及一系列相關的技術標準。下面對幾種抗干擾器件作簡單介紹。
5.1單向器
單向器又稱單向濾波器、單向隔離器。它是從微波器件—環行器原理上發展起來的,專門為無線尋呼發射機設計,具有吸收從外界通過天饋系統進入發射機的干擾信號之能量,以及有保護髮射機,減少故障率等功能。單向濾波器由精密燒結和研磨的旋磁、恆磁為主,配以微帶電感、電容、電阻、腔體等組成耦合、諧振、濾波電路。在旋轉磁場作用下,電磁波信號具有單向傳遞的特性。信號旋轉120度幾乎無損傷地從輸出端出去;外界的信號,從輸出端進入,同方向旋轉120度進入吸收端變為熱能散發掉。
單向濾波器的電氣特性:要求正向插損非常小,小於0.3~0.5dB;而反向特性要求吸收能量越大,頻率頻寬越寬越佳,要求在20MHz頻寬內,能降低能量25dB以上。所以說,單向濾波器是有吸收在發射機主頻率左右由外界倒灌進入的干擾信號,以至抑制互調產物的功能。
單向器的技術指標主要有三項:
(1)正向插入損耗
發射機加上單向器後,將損失功率0.3~0.5dB(對於100W發射功率來說約7~10W)。
(2)反向隔離度和反向隔離頻寬
這項指標是指吸收外界干擾信號的能力,國家無委的Ⅱ類標準為中心頻率fo±10MHz頻寬之內應優於25dB,fo±5MHz頻寬之內優於30dB。
Ⅲ類單向器採用雙結方式(即兩個單向器複合而成),其該項指標可以做到fo±10MHz頻寬之內優於40dB,而fo±5MHz頻寬之內優於50dB。由於插損比較大(兩個單向器之插損),用戶不願接受。
(3)駐波比
駐波比是評價單向器接口是否匹配地一個重要指標。小於1.2:1,做得好的小於1.1:1。即在100W發射功率時,反射功率不大於0.8W。
5.2帶通濾波器
在抑制雜波和抵抗外界干擾的作用中,帶通濾波器與單向器的作用互補。單向器是帶內單向濾波,而濾波器是帶外的雙向濾波。
常用的濾波器分為多腔鏍旋濾波器和單腔同軸濾波器(俗稱炮筒)。前者體積小,熱穩定性好,缺點是3dB頻寬較寬,後者恰好相反。
在抑制互調干擾的作用上,由於濾波器有一衰減很小的通帶,所以,當兩個產生互調干擾的發射機頻率相鄰很近時,是不能消出互調干擾和互調產物的。
評價濾波器性能的技術指標也有三項:
(1)插入損耗要求0.3~0.4dB。
(2)25dB頻寬指的是阻帶特性在衰減25dB時頻寬越窄越好。
(3)駐波比應小於1.2:1。
互調干擾圖4 帶通濾波器
5.3隔離濾波器(即單向器+濾波器)
隔離濾波器是由單向器和腔體濾波器的組合而成,它集中了兩者的優點,使其隔離頻寬非常寬,隔離度非常深,對雜波和互調干擾的抑制有很好的功效。隔離濾波器的正向特性曲線相近於濾
(1)正向插入損耗
國家無委標準為小於1dB,實際上做得好的可小於0.7dB。(在100W發射功率下約15W)。
(2)反向隔離度
頻寬大於200MHz,而衰減最差處(中心頻率左右)的衰減也就大於30dB。好的可達40dB以上。
(3)駐波比應小於1.2:1
互調干擾圖5 隔離濾波器原理

