吊貨索具
吊貨索具是吊運物品時,繫結鉤掛在物體上具有撓性的組合取物裝置。它由高強度撓性件(鋼絲繩、起重環鏈、人造纖維帶等)配以端部環、鉤、鉗、卸扣等組合而成。
吊貨索具是直接承受起重載荷的構件,其產品質量的好壞直接關係到起重作業安全。 外購的吊貨索具必須是專業廠按國家標準規定生產、檢驗、具有合格證和維護、保養說明書的產品。在產品明顯處必須有不易磨損的額定起重量、生產編號、製造日期、生產廠名等標誌。使用單位應根據說明書和使用環境特點編制安全使用規程和維護保養制度。
索具結構組成
吊鉤裝置
吊鉤裝置(cargo hook gear)是用以鉤吊貨物的裝置。一般由吊貨鉤、轉環、吊鉤、卸扣、壓重和三角眼板等零件組成。
滑車
滑車滑車又稱轆轤,是根據槓桿原理製成的簡單機械,可以省力和改變作用力的大小和方向。滑車可以單獨使用,也可以組成復滑車使用,並且是許多起重裝置的重要屬具。滑車主要由滑車殼、滑車輪、滑車軸、掛鈎(眼環、吊梁)等組成。按其製作材料,可分為木滑車和鐵滑車。按其滑輪的數目,可分為單輪、兩輪以至八輪或更多輪數的滑車,按其結構特點,可分為一般滑車和開口滑車;按其掛鈎裝置的不同,可分為吊鉤式、眼環式、吊環式、吊梁式等,按其作用的不同,有定滑車、動滑車以及單滑車、復滑車的區別。木滑車均以植物繩為滑車索,鐵滑車一般以鋼纜為滑車索。
吊貨索
吊貨索吊貨索的一端有吊貨鉤,另一端穿過吊貨滑車,沿吊桿穿過吊桿座上的導向滑車通至起貨機。使用吊桿操作時,通常是調整好穩索、千斤索,使吊桿置於某一合適的位置,吊貨索也處於可用狀態。當卸貨時,使吊桿處於艙口上方,吊桿仰角的大小由千斤索收放來控制,松放吊貨索即人艙吊貨。當絞收吊貨索把貨物吊至超過艙口上沿後,松出吊桿轉向相反一側的穩索,同時收人同向一側的穩索。松放過程中,吊桿慢慢地轉向卸貨地點,到達合適的位置停下,松下吊貨索將貨物卸到指定的位置上。裝貨過程則相反。
卸扣
卸扣卸扣是一種用途廣泛的連線工具,可用以連線繩纜、鏈條、錨鏈,也可以將繩纜等固定在帶眼環的裝置上。卸扣由環體和橫銷組成,橫銷是可以拆合的。卸扣種類繁多,以形狀劃分,有直型和圓型卸扣兩種;以使用範圍劃分,有錨鏈卸扣和帆纜卸扣的區別,以橫銷的類型分,可分為螺紋卸扣和光直卸扣兩種。
吊貨眼板
吊貨眼板(cargo purchase eye)位於吊桿頭端處,專供連線吊貨索具或同時連線吊貨索具和千斤索具用的眼板。
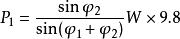
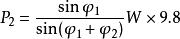
吊貨索拉力
吊貨索拉力計算公式如下:
舷外吊桿:
吊貨索舷內吊桿:
吊貨索式中:P、P——吊貨索拉力(kN);
W——起重量(t);
φ、φ——吊貨索與鉛垂線夾角(°),見右圖;
φ+φ——兩吊貨索之間的夾角(°);
保養和檢查
航次檢查
每航次都要對起重設備進行一次全面的外觀檢查,重點是檢查吊貨索具的安全可靠性並進行使用前保養。
①吊貨鋼絲繩是否斷絲並塗油;
②對吊貨滑車、導向滑車、卸扣、轉環及吊桿中部的護索環等檢查是否能正常使用並加油;
③與吊桿頂箍相連的卸扣、環、滑車等用小錘輕敲,聽聽是否有裂紋的碎聲;
④特別注意綁紮卸扣銷子的細鐵絲,如已折斷應立即換新。
季度檢查
全面檢查吊貨索具和穩索索具的磨損情況:
①吊貨滑車、導向滑車的拆裝、清潔和加油,並記錄磨損情況;
②檢查穩索的眼板、卸扣、索眼的磨損、變形情況;
③檢查吊桿頂箍的螺栓並清潔加油。
半年檢查
應對吊桿承座、千斤頂攀、千斤索具進行全面檢查保養。
①千斤索滑車拆下檢查加油,記錄滑車車軸、襯套及轉環等受力部分的磨損程度;
②檢查千斤索攀頭豎銷、橫銷的磨損;
③對千斤索進行除銹、清潔和加油;
④對鵝頸軸進行拆裝加油,測量頸徑和頸座內徑及青銅墊片的磨損情況;
⑤檢查吊桿承座橫銷的磨損情況,對穩索索具進行檢查、清潔、保養。

