液體的可壓縮性
液體受壓力的作用而使體積發生變化的性質稱為液體的可壓縮性。體積為V的液體,當壓力的變化量為△P時,體積的絕對變化量為△V,液體在單位壓力變化下的體積相對變化為:
可壓縮性式中,k—液體的壓縮係數。
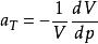
由於壓力增大時液體的體積減小,因此上式的右邊必須加一負號,以使k值為正。液體的壓縮係數的倒數稱為液體的體積彈性模量,簡稱體積模量,用K表示。即:
可壓縮性
可壓縮性
可壓縮性體積彈性模量K表示液體產生單位體積相對變化量時所需要的壓力增量。在使用中,可用K值來說明液體抗壓縮能力的大小。一般礦油型液壓油的體積彈性模量K=(1.2~2)× MPa。它的可壓縮性是鋼的100~50倍。但在實際使用中,由於在液體內不可避免的會混入空氣等原因,其抗壓縮能力顯著降低,這會影響液壓系統的工作性能。因此,在有較高要求或壓力較大的液壓系統中,應儘量減少油液中混入的氣體及其他易揮發(如煤油、汽油等)的含量。由於油液中的氣體難以完全排除,在工程計算中常取液壓油的體積彈性模量為K=0.7× MPa左右。
氣體的可壓縮性
流體的可壓縮性也可以通過定義可壓係數k來表達:
可壓縮性式中,V為流體控制單元體積;p為控制單元周邊對其的壓力。可壓縮係數τ根據壓縮過程中的情況可定義為等溫可壓係數與等熵可壓係數。
可壓縮性
可壓縮性可壓係數k為流體的重要特性。一般地,液體的可壓係數非常小,如常壓下水的等溫可壓係數為5×Pa,而氣體則為Pa,比水大4個數量級以上。對於單位質量的流體,則V變為比容,而密度ρ=1/V,因此上式變為:
可壓縮性式中,density=ρ,因此,當流體收到外力dp 時,其相應的體積變化為dρ=ρτdp。流體因受力而產生流動時,會使其壓力發生變化。特別對於高速流,壓力梯度變化較大。對於液體而言,其密度變化較小,但氣體的密度則較大。因此,液體較高的壓力梯度在密度變化不大的情況下會產生告訴流動,此類流動嘗視為不可壓流動,而氣體因為τ較大,較大的壓力梯度則可導緻密度的變化,同時產生大速度流動,此類流動則視為可壓流動。
可壓縮性與膨脹性
流體的可壓縮性如第一部分所述,壓縮係數k與體積彈性模量K都是其重要參數。
流體的膨脹性用熱脹係數α表示。壓強一定時,若流體的體積為V,當溫度升高dT後,體積增加dV,則熱膨脹係數α定義為
可壓縮性α的單位是1/K。
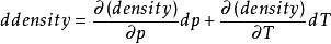
因為流體的密度和溫度、壓強有關,即
ρ=ρ(p,T)
由此得到密度隨壓強和溫度的變化量,即
可壓縮性密度的相對變化率
可壓縮性由流體的可壓縮性和膨脹性的定義,可以給出壓縮係數k和熱脹係數α的另一種表達式:
可壓縮性
可壓縮性
