電話反饋
在電話系統中,反饋(loopback)是發往網路目標測試信號作為收到的信息反映並返回給源。返回的信號可以幫助我們診斷問題。依次的傳送反饋測試到電話系統的每個設備上,每段時間發一個,這種方法是為了隔離問題。(反饋可以近似的看成是網際網路里的ping程式,它可以使你從網際網路上的一個主機發出信息。Ping的反饋能告訴你主機是否可用以及信號返回所花的時間。)
如果你是一個ISDN的用戶,ISDN帶有超過不止一個B通道,你可以從你的計算機發出反饋來進行測試。
放大電路
基本放大電路中,有源器件(電晶體等)具有信號單向傳遞性,被放大信號從輸入端輸入放大電路以後輸出,存在輸入信號對輸出信號的單向控制;如果在電路中存在某些通路,輸出信號的一部分反饋送到放大器的輸入端,與外部輸入信號疊加,產生基本放大電路的淨輸入信號,實現輸出信號對輸入的控制,即構成了反饋。
概述說明
前饋加回饋變頻器反饋可分為負反饋和正反饋。前者使輸出起到與輸入相反的作用,使系統輸出與系統目標的誤差減小,系統趨於穩定;後者使輸出起到與輸入相似的作用,使系統偏差不斷增大,使系統振盪,可以放大控制作用。對負反饋的研究是控制論的核心問題。
在放大電路中既有直流分量,又有交流分量,所以必然有直流反饋和交流反饋之分。直流反饋影響放大電路的直流性能,如靜態工作點。交流反饋影響放大電路的交流性能,如增益、輸入電阻、輸出電阻和頻寬等。
負反饋放大電路分為四種組態:電壓串聯負反饋、電壓並聯負反饋、電流串聯負反饋、電流並聯負反饋。具體套用要根據具體情況選擇。
傳播學上的反饋:指傳播過程中受傳者對收到的信息所作的反應,獲得反饋訊息是傳播者的意圖和目的,發出反饋是受傳者能動性的體現。
反饋計算
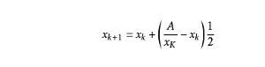
開平方公式
反饋例如,A=5:
5介於之間。取初始值2.1,2.2,2.3,2.4,2.5,2.6,2.7,2.8,2.9都可以,最好取中間值2.5。
第一步:2.5+(5/2.5-2.5)1/2=2.2;數值由大變小,是負反饋。
即5/2.5=2,2-2.5=-0.5,-0.5×1/2=-0.25,2.5+(-0.25)=2.25,取2位數2.2。
取任何一個初始值都是一樣,例如取2.8;2.8+(5/2.8-2.8)1/2=2.2
第二步:2.2+(5/2.2-2.2)1/2=2.23;數值由小變大,是正反饋。
即5/2.2=2.272,2.272-2.2=0.072,0.072×1/2=0.036,2.2+0.036=2.23。取3位數。
第三步:2.23+(5/2.23-2.23)1/2=2.236。數值由小變大,是正反饋。
即5/2.23=2.242,2.242-2.23=0.012,0.012×1/2=0.006,2.23+0.006=2.236.
每一步多取一位數。這個方法又叫反饋開方,即使你輸入一個錯誤的數值,也沒有關係,輸出值會自動調節,接近準確值。
開立方公式
開立方有一個標準的公式:
反饋判別反饋
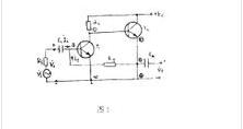
一、反饋放大器反饋極性的經驗分析法—符號法
反饋分析步驟1.在輸入端上加上一個“+”或“-”的輸入信號,按瞬時極性法標出反饋放大器中各個電極(基極b,集電極c,發射極e)電壓的瞬時性。
2.判斷經放大和反饋後得到的反饋信號Xf的瞬時極性。
3.反饋信號Xf,加到信號輸入端時,極性與輸入信號Xi相反時,則為負反饋;反之則為正反饋。反饋信號Xf,加到信號輸出端時,極性與輸入信號Xi相同則為負反饋;反之則為正反饋。,利用符號法可判斷反饋回來的信號加在基極b上,且與原輸入信號異號,則為負反饋。
二、反饋放大器反饋類型的經驗分析法
按反饋信號的輸出取樣方式和輸入連線的比較方式,反饋可以組成四種反饋組態:a電壓串聯反饋;b電壓並聯反饋;c電流串聯反饋;d電流並聯反饋。
1.判斷是電壓反饋還是電流反饋的經驗法
a)負載短路法:使放大電路的輸出端交流短路。若反饋信號Xf消失,則說明反饋信號取樣於輸出電壓,則為電壓反饋(Xf=FV0)。若反饋信號仍然存在,則說明反饋信號取樣於輸出電流,則為電流反饋(Xf=FI0)。
反饋b)一般規律法:反饋量取自於信號輸出端的電壓信號,為電壓反饋;反饋信號取自於信號輸出端的電流信號,為電流反饋。具體來說,負載電阻與反饋網路看作雙端網路(在反饋放大電路中其中一端通常為公共接地端),若負載電阻與反饋網路並聯,則反饋量對輸出電壓採樣,為電壓反饋。否則,反饋量無法直接對輸出電壓進行採樣,則只能對輸出電流進行採樣,即為電流反饋。輸出電壓在發射極e上,反饋信號取在發射極e上,即反饋量取自於信號輸出端,則為電壓反饋。反饋信號取自於非信號輸出端,則為電流反饋。
2.判斷是並聯反饋還是串聯反饋的經驗法
a)輸入短路法:輸入端交流短路,若反饋量作用不到放大電路輸入端,則為並聯反饋;若反饋量仍能作用到放大電路輸入端,則為串聯反饋。
b)一般規律法:反饋量加到非信號輸人端的是串聯反饋;反饋量加到信號輸入端則為並聯反饋。反饋信號加到信號輸入端則為並聯反饋。反饋信號加到了非信號輸入端則為串聯反饋。
內涵
反饋
反饋控制論中表征控制調節系統一般工作原理的基本概念。在環境因素的影響下,系統把信息輸送出去,又把信息所產生的效應輸送回來,從而影響信息的再輸出。這樣的過程就叫做反饋。它是相互作用的一種特殊形式。在反饋過程里作用於系統的原因所產生的結果,又會以一定的方式反作用於這個原因。反饋分為負反饋和正反饋。反饋如果傾向於反抗系統正在進行的非定向動作,就是負反饋,它能使系統適應偶然干擾,維持穩定狀態。反之,反饋如果傾向於加劇系統正在進行的非定向動作,則是正反饋,它能不斷加強偶然干擾給系統造成的效應,使系統趨於不穩定狀態或造成新的穩定狀態,從而導致系統的質變。這兩種反饋方式有時也叫做補償反饋和累積反饋。
在直線式因果鏈條里,一系列因素作用於一個特定系統,會使這個系統對這些因素的作用產生出一個特定效應。如果這個效應又反作用於上述因素,那怕至少反作用於其中的一個或若干個因素,則會出現反饋式因果鏈條。這兩種因果鏈條可用圖式表示如下: ①直線式因果鏈條
②反饋式因果鏈條
(Y代表原因,J代表結果)
直線式因果鏈條表現了機械論(見機械唯物主義)的因果觀念,反饋式因果鏈條體現了辯證法的因果觀念。當反饋量值逼近於零時,反饋式因果性就在某種程度上轉化為直線式因果性。直線式因果性是反饋式因果性的極限情況,反饋式因果性是直線式因果性的辯證揚棄。
作為因果相互作用的反饋聯繫,是在無機自然界、有機自然界和人類社會中普遍存在的辯證關係。在這種相互作用中,原因和結果經常交換位置,在此時或此地是結果,在彼時或彼地就成了原因,反之亦然。只有從這個普遍的相互作用出發,我們才能了解現實的因果關係。控制論的反饋概念進一步豐富了唯物辯證法關於因果相互作用的觀點。

