簡介
參數假設檢驗(parametric hypothesis test )簡稱假設檢驗,是數理統計學中根據一定假設條件由樣本推斷總體的一種方法。具體作法是:根據問題的需要對所研究的總體作某種假設,記作H0;選取合適的統計量,這個統計量的選取要使得在假設H0成立時,其分布為已知;由實測的樣本,計算出統計量的值,並根據預先給定的顯著性水平進行檢驗,作出拒絕或接受假設H0的判斷。常用的假設檢驗方法有u—檢驗法、t檢驗法、χ2檢驗法(卡方檢驗)、F—檢驗法等。
參數假設檢驗又稱統計假設檢驗,是一種基本的統計推斷形式,也是數理統計學的一個重要的分支,用來判斷樣本與樣本,樣本與總體的差異是由抽樣誤差引起還是本質差別造成的統計推斷方法。其基本原理是先對總體的特徵作出某種假設,然後通過抽樣研究的統計推理,對此假設應該被拒絕還是接受作出推斷。
基本思想
參數假設檢驗的基本思想是小機率反證法思想。小機率思想是指小機率事件(P<0.01或P<0.05)在一次試驗中基本上不會發生。反證法思想是先提出假設(檢驗假設H0),再用適當的統計方法確定假設成立的可能性大小,如可能性小,則認為假設不成立,若可能性大,則還不能認為不假設成立。
假設是否正確,要用從總體中抽出的樣本進行檢驗,與此有關的理論和方法,構成假設檢驗的內容。設A是關於總體分布的一項命題,所有使命題A成立的總體分布構成一個集合H0,稱為原假設(常簡稱假設)。使命題A不成立的所有總體分布構成另一個集合H1,稱為備擇假設。如果H0可以通過有限個實參數來描述,則稱為參數假設,否則稱為非參數假設(見非參數統計)。如果H0(或H1)只包含一個分布,則稱原假設(或備擇假設)為簡單假設,否則為複合假設。對一個假設H0進行檢驗,就是要制定一個規則,使得有了樣本以後,根據這規則可以決定是接受它(承認命題A正確),還是拒絕它(否認命題A正確)。這樣,所有可能的樣本所組成的空間(稱樣本空間)被劃分為兩部分HA和HR(HA的補集),當樣本x∈HA時,接受假設h0;當x∈HR時,拒絕H0。集合HR常稱為檢驗的拒絕域,HA稱為接受域。因此選定一個檢驗法,也就是選定一個拒絕域,故常把檢驗法本身與拒絕域HR等同起來。
步驟
1、提出檢驗假設又稱無效假設,符號是H0;備擇假設的符號是H1。
H0:樣本與總體或樣本與樣本間的差異是由抽樣誤差引起的;
H1:樣本與總體或樣本與樣本間存在本質差異;
預先設定的檢驗水準為0.05;當檢驗假設為真,但被錯誤地拒絕的機率,記作α,通常取α=0.05或α=0.01。
2、選定統計方法,由樣本觀察值按相應的公式計算出統計量的大小,如X2值、t值等。根據資料的類型和特點,可分別選用Z檢驗,T檢驗,秩和檢驗和卡方檢驗等。
3、根據統計量的大小及其分布確定檢驗假設成立的可能性P的大小並判斷結果。若P>α,結論為按α所取水準不顯著,不拒絕H0,即認為差別很可能是由於抽樣誤差造成的,在統計上不成立;如果P≤α,結論為按所取α水準顯著,拒絕H0,接受H1,則認為此差別不大可能僅由抽樣誤差所致,很可能是實驗因素不同造成的,故在統計上成立。P值的大小一般可通過查閱相應的界值表得到。
教學中的做法:
1.根據實際情況提出原假設和備擇假設;
2.根據假設的特徵,選擇合適的檢驗統計量;
3.根據樣本觀察值,計算檢驗統計量的觀察值(obs);
4.選擇許容顯著性水平,並根據相應的統計量的統計分布表查出相應的臨界值(ctrit);
5.根據檢驗統計量觀察值的位置決定原假設取捨。
意義
假設檢驗是抽樣推斷中的一項重要內容。它是根據原資料作出一個總體指標是否等於某一個數值,某一隨機變數是否服從某種機率分布的假設,然後利用樣本資料採用一定的統計方法計算出有關檢驗的統計量,依據一定的機率原則,以較小的風險來判斷估計數值與總體數值(或者估計分布與實際分布)是否存在顯著差異,是否應當接受原假設選擇的一種檢驗方法。
用樣本指標估計總體指標,其結論有的完全可靠,有的只有不同程度的可靠性,需要進一步加以檢驗和證實。通過檢驗,對樣本指標與假設的總體指標之間是否存在差別作出判斷,是否接受原假設。這裡必須明確,進行檢驗的目的不是懷疑樣本指標本身是否計算正確,而是為了分析樣本指標和總體指標之間是否存在顯著差異。從這個意義上,假設檢驗又稱為顯著性檢驗。
進行假設檢驗,先要對假設進行陳述。通過下例加以說明。
例如,設某工廠製造某種產品的某種精度服從平均數為方差的常態分配,據過去的數據,已知平均數為75,方差為100。若經過技術革新,改進了製造方法,出現了平均數大於75,方差沒有變更,但仍存在平均數不超過75的可能性。試陳述為統計假設。
根據上述情況,可有兩種假設,(1) 平均數不超過75,(2)平均數大於75,即如果我們把(1)作為原假設,即被檢驗的假設,稱作零假設,記作H0,如果其他假設相對於零假設來說,是約定的、補充的假設,則就是備擇的,故稱為備擇假設或對立假設,記作H1。
還須指出,哪個是零假設,哪個是備擇假設,是無關緊要的。我們關心的問題,是要探索哪一個假設被接受的問題。被接受的假設是要作為推理的基礎。在實際問題中,一般要考慮事情發生的邏輯順序和關心的事件,來設立零假設和備擇假設。
在作出了統計假設之後,就要採用適當的方法來決定是否應該接受零假設。由於運用統計方法所遇到的問題不同,因而解決問題的方法也不盡相同。但其解決方法的基本思想卻是一致的,即都是“機率反證法”思想,即:
(1)為了檢驗一個零假設(即虛擬假設)是否成立, 先假定它是成立的,然後看接受這個假設之後,是否會導致不合理結果。如果結果是合理的,就接受它;如不合理,則否定原假設。
(2)所謂導致不合理結果,就是看是否在一次觀察中, 出現小機率事件。通常把出現小機率事件的機率記為0,即顯著性水平。 它在次數函式圖形中是曲線兩端或一端的面積。因此,從統計檢驗來說,就涉及到雙側檢驗和單側檢驗問題。在實踐中採用何類檢驗是由實際問題的性質來決定的。一般可以這樣考慮:
①雙側檢驗。如果檢驗的目的是檢驗抽樣的樣本統計量與假設參數的差數是否過大(無論是正方向還是負方向),就把風險平分在右側和左側。比如顯著性水平為0.05,即機率曲線左右兩側各占,即0.025。
②單側檢驗。這種檢驗只注意估計值是否偏高或偏低。如只注意偏低,則臨界值在左側,稱左側檢驗;如只注意偏高,則臨界值在右側,稱右側檢驗。
對總體的參數的檢量,是通過由樣本計算的統計量來實現的。所以檢驗統計量起著決策者的作用。
套用
在雷達檢測中,目標是產生假設的源,它可使用兩個假設:H1和H0,分別表示目標存在(H1)和不存在(H0)。這是二元簡單假設檢驗。二元數字通信問題也是簡單假設檢驗。如果假設中含有目標未知參量,則是複合假設檢驗。m元通信問題也是複合假設檢驗。如果未知參量是隨機變化的,則是隨機參量信號的假設檢驗。
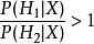
通信系統和雷達系統常用的最佳準則,是最小錯誤機率準則,即最大後驗機率準則。以雷達檢測為例:目標是源,它可使用的兩個假設是H1和H0。接收端收到樣本X(雷達回波)後,判定H1為真(目標存在),或判定H0為真(目標不存在機率可分別表示為p(H1/x)和p(H0/x),稱為後驗機率。最大後驗機率準則的判決規則是,若
參數假設檢驗則判定H1為真(選擇H1);否則判定H0為真。
注意
1、做假設檢驗之前,應注意資料本身是否有可比性。
2、當差別有統計學意義時應注意這樣的差別在實際套用中有無意義。
3、根據資料類型和特點選用正確的假設檢驗方法。
4、根據專業及經驗確定是選用單側檢驗還是雙側檢驗。
5、當檢驗結果為拒絕無效假設時,應注意有發生I類錯誤的可能性,即錯誤地拒絕了本身成立的H0,發生這種錯誤的可能性預先是知道的,即檢驗水準那么大;當檢驗結果為不拒絕無效假設時,應注意有發生II類錯誤的可能性,即仍有可能錯誤地接受了本身就不成立的H0,發生這種錯誤的可能性預先是不知道的,但與樣本含量和I類錯誤的大小有關係。
6、判斷結論時不能絕對化,應注意無論接受或拒絕檢驗假設,都有判斷錯誤的可能性。
7、報告結論時是應注意說明所用的統計量,檢驗的單雙側及P值的確切範圍。

