表達公式
原油體積係數,又稱原油地下體積係數,它被定義為原油在地下的體積V( 即地層油體積) 與其在地面脫氣後的體積V之比, 即:
原油體積係數式中
Bo——原油體積係數;
V——原油在地下的體積,m ;
V——在地面脫氣後的體積,m 。
一般情況下, 由於溶解氣和熱膨脹的影響遠超過彈性壓縮的影響, 地層油的體積總是大於它在地面脫氣後的體積, 故原油的地下體積係數Bo一般都大於1。
確定方法
將體積係數關聯成地面脫氣原油相對密度、分離氣相相對密度和溶解氣油比的函式,飽和壓力下原油體積係數一般採用以下經驗公式來獲取:
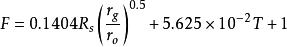
Standing方法
原油體積係數其中
原油體積係數式中
原油體積係數——溶解氣和油的體積比;
原油體積係數——地面脫氣原油相對密度;
原油體積係數——分離器氣體相對密度(取空氣密度為1.0kg/m );
T——地層溫度,K。
運用Standing飽和壓力公式的算術平均誤差為4.8%左右。
影響因素
一般情況下,地下原油的體積受3個因素影響:溶解氣、熱膨脹和壓縮性。可通過溶解氣油比、油層溫度和油層壓力3個變數予以度量。
1、氣油比
地層原油中溶解有天然氣,不同類型油藏的地層原油中溶解天然氣的量差別很大。溶解氣油比的定義為:地層油在地面進行一次脫氣,分離出的氣體體積與地面脫氣後油體積的比值。
溶解氣油比越大,其原油體積係數也越大;另外,氣油比還受溫度的影響,隨著溫度的升高,烴類組分的飽和蒸汽壓升高,天然氣溶解度下降,氣油比減小。
2、油層溫度
油層溫度越高,由於熱膨脹,原 油體積係數越大。
3、油層壓力
原油地下體積係數和壓力的關係:
當壓力大於泡點壓力p時, B隨壓力p的降低而增加, 這是由於壓力降低, 單相地層油體積膨脹的結果;
當壓力p小於泡點壓力p時, Bo 隨壓力p降低而減小, 這是由於p<p後油中溶解氣釋出, 油體積收縮的結果;
當壓力p等於泡點壓力p時, B達到最大值。
套用
原油地下體積係數在油藏開發計算中經常用到, 它實際上是原油地下體積和地面體積的換算係數。

