編碼技術
在卷積碼的編碼過程中,對輸入信息比特進行分組編碼,每個碼組的編碼輸出比特不僅與該分組的信息比特有關,還與前面時刻的其他分組的信息比特有關。同樣,在卷積碼的解碼過程中,不僅從當前時刻收到的分組中獲取解碼信息,還要從前後關聯的分組中提取相關信息。正是由於在卷積碼的編碼過程中充分利用了各組的相關性,使得卷積碼具有相當好的性能增益。
1.編碼器
圖3-28 卷積碼編碼器的一般結構卷積碼編碼器實質上是一個有限狀態的線性移位暫存器。這個移位暫存器由若干個暫存器單元組成,這些暫存器單元分成組,每組個暫存器單元,相應地可以存儲個信息比特。暫存器單元按一定的規則連線到代數運算單元,這樣運算單元通過接收這些暫存器單元的輸入信息,進行代數運算,將運算結果作為編碼比特輸出。卷積碼編碼器的一般結構如圖3-28所示。
圖中,編碼器的每組輸入包含 k個信息比特,第一組暫存器單元存儲當前時刻的 k個信息比特,而其他組暫存器單元存儲前面時刻的( K−1) k個信息比特。編碼器有 n個編碼輸出,每個編碼輸出 Y由當前時刻的輸入信息分組以及其他( K−1)個暫存器單元內的信息分組根據相應的連線關係進行模2運算來確定。因此,一般定義 K為編碼約束度,說明編碼過程中相互關聯的分組個數,定義 m=k-1 為編碼存儲級數,碼率 R= k /n,這類碼通常稱為( n kK)卷積碼。
在許多實際套用場合,往往採用編碼約束度比較小、碼率為的卷積碼。如圖3-29所示的兩種卷積碼(2,1,9)和(3,1,9),它們的存儲級數都是8,加法器完成二進制加法(模2加)。圖中省略了存儲當前時刻輸入的暫存器單元。
在圖3-29(a)中,(2,1,9)卷積碼編碼器有一個輸入連線埠、兩個輸出連線埠,這兩個輸出連線埠分別對應兩個生成多項式(使用八進制表示):561和753。該碼率是1/2。
在圖3-29(b)中,(3,1,9)卷積碼編碼器有一個輸入連線埠、3個輸出連線埠,這3個輸出連線埠分別對應3個生成多項式(使用八進制表示):557、663和711。該碼率是1/3。
TD-LTE系統中採用了(3,1,7)卷積碼,存儲級數是6,使用了6個暫存器。這個卷積碼的主要優點包括最優距離譜、咬尾編碼、解碼複雜度小。具體描述見後續章節內容。
另外,卷積碼也可以按照其他方式進行分類,比如系統碼或者非系統碼,遞歸碼或者非遞歸碼,最大自由距離碼或者最優距離譜碼。常用的卷積碼一般是非遞歸的非系統碼,而Turbo碼常常使用遞歸的系統卷積碼。
2.咬尾編碼
通常卷積碼編碼器開始工作時都要進行初始化,常常將編碼器的所有暫存器單元都進行清零處理。而在編碼結束時,還要使用尾比特進行歸零的結尾操作(Tailed Termination)。相對於編碼比特而言,尾比特增加了編碼開銷。
圖3-29 (2,1,9)和(3,1,9)的編碼器TD-LTE系統的卷積碼編碼器採用了咬尾編碼方法,如圖3-30所示,編碼器開始工作時要進行特殊的初始化,將輸入信息比特的最後 m個比特依次輸入編碼器的暫存器中,當編碼結束時,編碼器的結束狀態與初始狀態相同。由於這個編碼方法沒有出現尾比特,因此稱為咬尾編碼。咬尾編碼減少了尾比特的編碼開銷。對於咬尾編碼方法,在解碼過程中,由於編碼器的初始狀態和結尾狀態是未知的,因此就需要增加一定的解碼複雜度,才能確保好的解碼性能。
圖3-30 卷積碼的咬尾編碼方法示意圖3.性能界
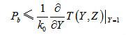
卷積碼的性能一般使用誤比特率(BER,Bit Error Rate)來統計,其理論上界(Upper Bound)一般使用聯合界(Union Bound)來確定,即
卷積編碼(3-13)
其中,卷積碼的轉移函式(Transfer Function),代表非零輸入信息比特的轉移分支, Y的指數表示輸入信息比特的漢明重量, Z代表輸出編碼比特的轉移分支, Z的指數表示輸出編碼比特的漢明重量。
為了進一步分析上述性能界,一般假設最大似然解碼(ML,Maximum-Likelihood)、BPSK調製和加性高斯白噪聲(AWGN,Additive White Gaussian Noise)信道,則有
卷積編碼(3-14)
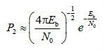
其中, B是所有重量為 d的碼字的非零信息比特的重量,為卷積碼的自由距離。當信噪比很高時,則式(3-14)近似為
卷積編碼(3-15)
BPSK調製性能為
卷積編碼(3-16)
考慮到誤碼性能主要是指數項占據主導作用,與未編碼系統相比,卷積碼的編碼增益為
卷積編碼(3-17)
式(3-17)說明卷積碼的漸近性能主要是由自由距離()決定的。因此,相對而言,卷積碼的自由距離越大,其性能越好。以上述二進制卷積碼(2,1,9)和(3,1,9)為例,自由距離分別為12和18,編碼增益都為7.78dB。實際上,性能最佳的卷積碼往往具有最優的距離譜(ODS,Optimum Distance Spectrum)或者重量分布,而且,具有最優距離譜的卷積碼也具有最大的自由距離(MFD,Maximum Free Distance)。TD-LTE系統採用了最優距離譜的卷積碼。
速率匹配
為了支持高效、靈活的傳輸方式,信道編碼技術需要考慮到各種不同的傳輸碼率和調製方式,兼顧HARQ重傳技術以及鏈路自適應技術。為此,信道編碼技術常常使用打孔或者重複的方法,從編碼比特流中提取預定長度比特序列,這個過程稱為速率匹配。研究表明,均勻並且對稱的打孔或者重複模式能夠獲得最優的速率匹配性能。均勻的打孔或者重複模式是指打孔或者重複的比特位置的分布是均勻的,以避免連續的比特位置上的比特被打孔或者重複。
TD-LTE中卷積碼速率匹配的原理如圖3-31所示。卷積編碼器輸出的第一、二和三校驗比特流分別獨立地交織後,被比特收集單元依次收集,也就是交織後的第一、二和三校驗比特流依次輸入到緩衝器中。每次傳輸時,比特選擇單元從緩衝器頭部的比特開始逐位讀取,直至達到預定的比特數。當讀取到緩衝器的尾部,仍然沒有達到預定的比特數時,比特選擇單元自動跳至緩衝器的頭部繼續讀取。卷積碼的這種基於緩衝器的速率匹配的過程,被稱為循環緩衝器速率匹配(CBRM)。
圖3-31 TD-LTE卷積碼速率匹配原理TD-LTE採用的卷積編碼器是碼率為1/3的最優距離譜編碼器,內嵌碼率為1/2的最優距離譜編碼器,這種編碼編碼方法能夠保證獲得優異的糾錯性能。如圖3-31所示,卷積碼速率匹配時,比特收集單元在收集3個比特流時,3個比特流是依次被收集,這樣能夠保證卷積碼通過速率匹配得到碼率為1/2碼字時,其距離譜仍然是最優的。
圖3-32 卷積碼速率匹配交織器原理圖TD-LTE卷積碼速率匹配採用的交織器是一個簡單的行列交織器,如圖3-32所示,交織器執行按行寫入、內部列交織、按列讀出的簡單操作。行列交織器的列數固定為32,交織前,需要根據每個比特流的長度,計算得到行列交織器的行數,並根據需要在行列交織器的第一行的頭部進行補零操作。在基於循環緩衝器進行速率匹配時,交織器的使用能夠保證卷積碼的打孔或者重複模式是均勻的,從而獲得優異的卷積碼速率匹配性能。另外,由於卷積碼和Turbo碼採用了一致的速率匹配方法,因此基站和終端能夠採用一致的算法實現卷積碼和Turbo碼的速率匹配。
