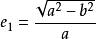
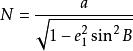
卯酉圈曲率半徑的計算公式如下:
卯酉圈曲率半徑上式中
卯酉圈曲率半徑是橢球長半軸
卯酉圈曲率半徑是橢球短半軸
卯酉圈曲率半徑是第一離心率
卯酉圈曲率半徑是大地緯度
卯酉圈曲率半徑是一個數學用語。
卯酉圈曲率半徑的計算公式如下:
卯酉圈曲率半徑上式中
卯酉圈曲率半徑是橢球長半軸
卯酉圈曲率半徑是橢球短半軸
卯酉圈曲率半徑是第一離心率
卯酉圈曲率半徑是大地緯度
卯酉圈(Prime Vertical)就是指地平坐標系中的大圓。即與子午圈相垂直的地平經圈 ,它與地平圈相交於東點和西點。
定義 計算平均曲率半徑是描述橢球面曲率的幾何量。即橢球面上一點所有方向法截線曲率半徑的算數平均值。旋轉曲面上點的平均曲率半徑等於該點兩主曲率半徑乘積的平方根(即幾...
定義 平均曲率半徑法求阿基米德螺旋線的代用圓弧坐標系4.3 橢球面上的幾種曲率半徑4.3.1 子午圈曲率半徑4.3.2 卯酉圈曲率半徑4.3.3 主曲率半徑的計算4.3.4 任意法截弧的曲率半徑4.3.5 平均曲率半徑4.3.6 M,N,R的關係4.4 橢球面上...
2010年武漢大學出版社出版圖書 2010年測繪出版社出版圖書中華人民共和國法定計量單位附錄二 中華人民共和國法定計量單位使用方法附錄三 卯酉圈曲率半徑(N)、子午圈曲率半徑(M) 平均曲率半徑(R)緯圈半徑(r... 法截弧曲率半徑RA計算用表附錄六 R(δα2+δB2+δA?δB)值表...
內容介紹 作品目錄7.2.3 站心地平坐標系 7.3 橢球面上的幾種曲率半徑 7.3.1 子午圈曲率半徑 7.3.2 卯酉圈曲率半徑 7.3.3 主曲率半徑的計算 7.3.... [顯示全部&...
內容簡介: 內容提要: 圖書目錄:地心坐標系 3.3 子午圈曲率半徑、卯酉圈曲率半徑、平均曲率半徑和緯圈半徑 3.4 子午線弧長和緯線弧長 3.5 決定新極Q的地理坐標...
圖書信息 作者簡介 內容簡介 目錄°)的稱卯酉圈。過一點的所有法截線,其形狀都以過該點的子午圈和卯酉圈為對稱...相互垂直且曲率半徑為極大和極小的法截面稱為主法截面。在地球橢球上,方位角為...截面稱為卯酉面。 法截線:法截面與曲面的截線。過曲面上一點的法截線有無限...
概念 異形螺桿端截面與法截面關係研究 針對角鋼桁架的滿利用率齒行法截面最佳化:大地坐標系變為直角坐標系: (1) 式中:n為橢球的卯酉圈曲率半徑,e為橢球的第一偏心率。 若橢球的長半徑為a,短半徑為b,則有 (2) 直角...指向地球赤道面與格林威治子午圈的交點(即0經度方向),Y軸在赤道平面里...
組成 國內廠商 升級方式 現狀 導航原理已知地球參數(儀器所在點的地球子午圈和卯酉圈曲率半徑M和N,地球自轉...控制慣性平台,不斷地按參考橢球面的曲率進動。由於加速度計誤差、陀螺儀漂移和...
慣性測量系統科技名詞定義 簡介 組成 基本原理 測量精度