基本介紹
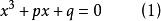
卡爾達諾公式是一個著名的求根公式,指實係數一元三次方程
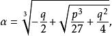
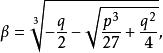
卡爾達諾公式的求根公式x=α+β,式中
卡爾達諾公式
卡爾達諾公式且αβ=-p/3,此公式也可以套用於復係數三次方程中 。
相關介紹
義大利數學家卡爾達諾(G.Cardano)在1545年出版的《大術》一書中,首先發表了上述公式,此公式來自義大利數學家塔爾塔利亞(N.Tartaglia),但卡爾達諾給出了該公式的幾何證明。
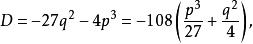
當p,q為實數時,稱
卡爾達諾公式為方程(1)的判別式。
當D>0時,方程(1)有三個兩兩不同的實根,稱為不可約情形;
當D=0時,方程(1)有三個實根,當p,q均不為0時,有兩個重根和一個單根;
當D<0時,方程(1)有一個實根與兩個共軛虛根 。
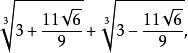
卡爾達諾公式卡爾達諾公式表明三次方程有根式解,他的學生費拉里(L.Ferrari)用降階法獲得一元四次方程的根式解法,從而引發了人們對五次以上代數方程的根式解的研究,推動了近世代數學的產生和發展.此外,由於在不可約情形中出現了用虛數表示實根的情形,使人們再次遇到負數開平方,因此促進了對虛數合理性的認識.1572年,義大利數學家邦貝利(Bombelli,R.)在他的《代數》一書中,討論過求解一元三次方程x =15x+4,其三個根為4,。但套用卡爾達諾公式卻是
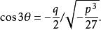
卡爾達諾公式邦貝利研究後認為,應將負數的平方根像“普通數”那樣運算.後來,德國數學家萊布尼茨(Leibniz,G.W.)也研究過不可約情形,並且深信:用代數方法解此種情形不可能不用到虛數.這使人們逐漸認識到負數開平方有一定的客觀基礎和合理性,加快了人們接受虛數的認識進程.法國數學家韋達(F.Viete)在《論方程的識別與訂正》(完成於1591年,出版於1615年)中,利用三角恆等式給出了不可約情形的方程(1)的根為
卡爾達諾公式
卡爾達諾公式
卡爾達諾公式式中θ滿足
卡爾達諾公式韋達只給出其中一個根。
利用卡爾達諾公式還會出現用無理數表示有理根的情形。例如,方程x -x-6=0有一個根2,但用卡爾達諾公式卻為
卡爾達諾公式因此,在實際求根時,卡爾達諾公式有一定的局限性 。

