定義
化學位(Chemical degree)又稱化學勢(Chemical potential)。通常指偏摩爾自由能。決定物質傳遞方向和限度的物理量。任何物質若存在於兩相中,則物質必從化學勢大的一相向化學勢較小的一相傳遞,當兩相達到平衡時,該物質在兩相中的化學勢必相等。對於化學反應,在等溫等壓下,若反應物化學勢的總和大於產物化學勢的總和時,反應自發向右進行反之,逆反應自發進行。當反應達到平衡時,反應物化學勢的總和必等於產物化學勢的總和。化學勢在“相平衡”和“化學平衡”中有重要套用.參見“偏摩爾量”。
化學位的特徵
(1)化學位是體系的性質,是狀態函式,是強度性質。
(2)化學位的絕對值是不能測定的,只能測定兩狀態間的相對值。
(3)化學位的數值決定於狀態,故狀態變化時,如溫度、壓強及各物質的摩爾數發生任何變化時,都會改變化學位數值。
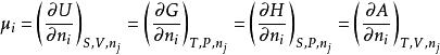
化學位可以由內能、自由焓、焓或自由能引入,但各偏導數的條件不同。它們的關係為
化學位表示在給定的條件內,體系中1mol i組分的內能,或1mol i組分的自由焓等。這裡必須注意兩點:
化學位
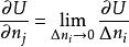
化學位首先,按照偏導數的定義,,而且。也就是說,加入△n的i組分後,體系的組成幾乎沒有改變。如果組成有了改變,各物質的化學位就會發生變化,而不可能得到真正的i組元的化學位。
其次,由於化學位的數值與物質的總量無關,所以是強度性質。
若體系還做有其他有效功,如電功、磁功、表面功等,用ΣXdY表示這些功,則完整的熱力學基本公式如下:
dU=TdS-pdV-ΣXdY+Σ△μdn
dH=TdS+Vdp-ΣXdY+Σ△μidni
dA=-SdT-pdV-ΣXdY+Σ△μdn
dA=-SdT-Vdq-ΣXdY+Σ△μidni
不做有效功時
dU=TdS-pdV+Σ△μidni
在恆溫恆壓及恆組成的條件下將體系擴大,可得
△U=T△S-p△V+Σ△μidni

