定義
已調信號通過網路傳輸時,不僅它的各個頻率分量要產生相時延,輸出信號的包絡對輸入信號的包絡也要產生延遲。這種延遲稱為網路的包絡時延。
在信號經過色散的帶通系統時,輸出信號g(t)與激勵信號f(t)的相關函式為
包絡時延
包絡時延
包絡時延當 時,即g(t)與f(t)具有最大相似程度時, 為信號的包絡時延。
包絡時延性質
幾何意義
包絡時延
包絡時延
包絡時延
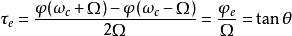
包絡時延包絡時延在網路的頻移特性曲線 的幾何意義可以理解為 曲線過相應的 和 兩點之間的割線MN的斜率 。
包絡時延物理意義
已調信號的包絡形狀總是與基帶調製信號波形相同,它代表信息分量。包絡時延與信號傳播速度和信號失真有關。為了保證信號傳輸質量,應使網路在信號頻譜範圍內的包絡時延變化最小。理想的包絡時延特性為水平直線 。
與相延遲、群時延關係
包絡時延
包絡時延
包絡時延
包絡時延
包絡時延
包絡時延當相位延遲為恆定值時,則群時延和包絡時延 ;當在某一頻率範圍內,網路的相延遲 特性為線性時,則網路的群時延 ,此時通過網路的包絡時延和群時延相等;在某一頻率範圍內,當網路的相延遲 特性為非線性時,則網路的群時延與包絡時延不等,即 .
當調製頻率取得很小時,群時延和包絡時延之間的差值時很小的,甚至可以忽略不計,因此可以用測量包絡時延的方法來代替群時延的測量。信號的包絡時延可採用相關法測量,測得的時延由信號頻譜、系統回響函式共同決定。

