定義
勾股定理
勾股定理
勾股定理在平面上的一個直角三角形中,兩個直角邊邊長的平方加起來等於斜邊長的平方。如果設直角三角形的兩條直角邊長度分別是 和 ,斜邊長度是 ,那么可以用數學語言表達:
勾股定理勾股定理是餘弦定理中的一個特例。
推導
趙爽弦圖
勾股定理
第24屆國際數學家大會會標《九章算術》中,趙爽描述此圖:“勾股各自乘,並之為玄實。開方除之,即玄。案玄圖有可以勾股相乘為朱實二,倍之為朱實四。以勾股之差自相乘為中黃實。加差實亦成玄實。以差實減玄實,半其餘。以差為從法,開方除之,復得勾矣。加差於勾即股。凡並勾股之實,即成玄實。或矩於內,或方於外。形詭而量均,體殊而數齊。勾實之矩以股玄差為廣,股玄並為袤。而股實方其里。減矩勾之實於玄實,開其餘即股。倍股在兩邊為從法,開矩勾之角即股玄差。加股為玄。以差除勾實得股玄並。以並除勾實亦得股玄差。令並自乘與勾實為實。倍並為法。所得亦玄。勾實減並自乘,如法為股。股實之矩以勾玄差為廣,勾玄並為袤。而勾實方其里,減矩股之實於玄實,開其餘即勾。倍勾在兩邊為從法,開矩股之角,即勾玄差。加勾為玄。以差除股實得勾玄並。以並除股實亦得勾玄差。令並自乘與股實為實。倍並為法。所得亦玄。股實減並自乘如法為勾,兩差相乘倍而開之,所得以股玄差增之為勾。以勾玄差增之為股。兩差增之為玄。倍玄實列勾股差實,見並實者,以圖考之,倍玄實滿外大方而多黃實。黃實之多,即勾股差實。以差實減之,開其餘,得外大方。大方之面,即勾股並也。令並自乘,倍玄實乃減之,開其餘,得中黃方。黃方之面,即勾股差。以差減並而半之為勾。加差於並而半之為股。其倍玄為廣袤合。令勾股見者自乘為其實。四實以減之,開其餘,所得為差。以差減合半其餘為廣。減廣於玄即所求也。”
用現代的數學語言描述就是黃實的面積等於大正方形的面積減去四個朱實的面積。
2002年第24屆國際數學家大會(ICM)的會標即為該圖。
加菲爾德證法
加菲爾德在證出此結論5年後,成為美國第20任總統,所以人們又稱其為“總統證法”。
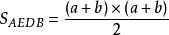
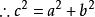
勾股定理
勾股定理
勾股定理在直角梯形ABDE中,∠AEC=∠CDB=90°,△AEC≌△CDB, , ,
勾股定理
勾股定理
“總統證法”示意圖
勾股定理
勾股定理∵
勾股定理
勾股定理
勾股定理加菲爾德證法變式
圖示該證明為加菲爾德證法的變式。
如果將大正方形邊長為c的小正方形沿對角線切開,則回到了加菲爾德證 法。相反,若將上圖中兩個梯形拼在一起,就變為了此證明方法。
大正方形的面積等於中間正方形的面積加上四個三角形的面積,即:
勾股定理
勾股定理
勾股定理青朱出入圖
勾股定理青朱出入圖,是東漢末年數學家劉徽根據“割補術”運用數形關係證明勾股定理的幾何證明法,特色鮮明、通俗易懂。
劉徽描述此圖,“勾自乘為朱方,股自乘為青方,令出入相補,各從其類,因就其餘不動也,合成弦方之冪。開方除之,即弦也。”其大意為,一個任意直角三角形,以勾寬作紅色正方形即朱方,以股長作青色正方形即青方。將朱方、青方兩個正方形對齊底邊排列,再以盈補虛,分割線內不動,線外則“各從其類”,以合成弦的正方形即弦方,弦方開方即為弦長。
歐幾里得證法
在歐幾里得的《幾何原本》一書中給出勾股定理的以下證明。設△ ABC為一直角三角形,其中 A為直角。從 A點劃一直線至對邊,使其垂直於對邊。延長此線把對邊上的正方形一分為二,其面積分別與其餘兩個正方形相等。
在這個定理的證明中,我們需要如下四個輔助定理:
如果兩個三角形有兩組對應邊和這兩組邊所夾的角相等,則兩三角形全等。(SAS)
三角形面積是任一同底同高之平行四邊形面積的一半。
任意一個正方形的面積等於其二邊長的乘積。
任意一個矩形的面積等於其二邊長的乘積(據輔助定理3)。
歐幾里得證法證明的思路為:從 A點劃一直線至對邊,使其垂直於對邊。延長此線把對邊上的正方形一分為二,把上方的兩個正方形,通過等高同底的三角形,以其面積關係,轉換成下方兩個同等面積的長方形。
設△ABC為一直角三角形,其直角為∠CAB。
其邊為BC、AB和CA,依序繪成四方形CBDE、BAGF和ACIH。
畫出過點A之BD、CE的平行線,分別垂直BC和DE於K、L。
分別連線CF、AD,形成△BCF、△BDA。
∠CAB和∠BAG都是直角,因此C、A和G共線,同理可證B、A和H共線。
∠CBD和∠FBA都是直角,所以∠ABD=∠FBC。
因為AB=FB,BD=BC,所以△ABD≌△FBC。
因為A與K和L在同一直線上,所以四邊形BDLK=2△ABD。
勾股定理因為C、A和G在同一直線上,所以正方形BAGF=2△FBC。
因此四邊形BDLK=BAGF=AB²。
同理可證,四邊形CKLE=ACIH=AC²。
把這兩個結果相加,AB²+AC²=BD×BK+KL×KC
由於BD=KL,BD×BK+KL×KC=BD(BK+KC)=BD×BC
由於CBDE是個正方形,因此AB²+AC²=BC²,即a²+b²=c²。
此證明是於歐幾里得《幾何原本》一書第1.47節所提出的。
由於這個定理的證明依賴於平行公理,而且從這個定理可以推出平行公理,很多人質疑平行公理是這個定理的必要條件,一直到十九世紀嘗試否定第五公理的非歐幾何出現。
推廣
勾股數組
勾股定理
勾股定理
勾股定理
勾股定理勾股數組是滿足勾股定理 的正整數組 ,其中的 稱為勾股數。例如 就是一組勾股數組。
勾股定理
勾股定理
勾股定理
勾股定理
勾股定理
勾股定理任意一組勾股數 可以表示為如下形式: , , ,其中 均為正整數,且 。
定理用途
已知直角三角形兩邊求解第三邊,或者已知三角形的三邊長度,證明該三角形為直角三角形或用來證明該三角形內兩邊垂直。利用勾股定理求線段長度這是勾股定理的最基本運用。
簡史
中國
公元前十一世紀,周朝數學家商高就提出“勾三、股四、弦五”。《周髀算經》中記錄著商高同周公的一段對話。商高說:“…故折矩,勾廣三,股修四,經隅五。”意為:當直角三角形的兩條直角邊分別為3(勾)和4(股)時,徑隅(弦)則為5。以後人們就簡單地把這個事實說成“勾三股四弦五”,根據該典故稱勾股定理為商高定理。
公元三世紀,三國時代的趙爽對《周髀算經》內的勾股定理作出了詳細注釋,記錄於《九章算術》中“勾股各自乘,並而開方除之,即弦”,趙爽創製了一幅“勾股圓方圖”,用形數結合得到方法,給出了勾股定理的詳細證明。後劉徽在劉徽注中亦證明了勾股定理。
在中國清朝末年,數學家華蘅芳提出了二十多種對於勾股定理證法。
外國
遠在公元前約三千年的古巴比倫人就知道和套用勾股定理,他們還知道許多勾股數組。美國哥倫比亞大學圖書館內收藏著一塊編號為“普林頓322”的古巴比倫泥板,上面就記載了很多勾股數。古埃及人在建築宏偉的金字塔和測量尼羅河泛濫後的土地時,也套用過勾股定理。
公元前六世紀,希臘數學家畢達哥拉斯證明了勾股定理,因而西方人都習慣地稱這個定理為畢達哥拉斯定理。
公元前4世紀,希臘數學家歐幾里得在《幾何原本》(第Ⅰ卷,命題47)中給出一個證明。
1876年4月1日,加菲爾德在《新英格蘭教育日誌》上發表了他對勾股定理的一個證法。
1940年《畢達哥拉斯命題》出版,收集了367種不同的證法。
意義
1.勾股定理的證明是論證幾何的發端;
2.勾股定理是歷史上第一個把數與形聯繫起來的定理,即它是第一個把幾何與代數聯繫起來的定理;
3.勾股定理導致了無理數的發現,引起第一次數學危機,大大加深了人們對數的理解;
4.勾股定理是歷史上第—個給出了完全解答的不定方程,它引出了費馬大定理;
5.勾股定理是歐氏幾何的基礎定理,並有巨大的實用價值.這條定理不僅在幾何學中是一顆光彩奪目的明珠,被譽為“幾何學的基石”,而且在高等數學和其他科學領域也有著廣泛的套用.1971年5月15日,尼加拉瓜發行了一套題為“改變世界面貌的十個數學公式”郵票,這十個數學公式由著名數學家選出的,勾股定理是其中之首。

