概述
動量傳輸通常以兩種方式進行:
•流場中流線上的流體沿運動方向由某一空間進入另一空間。把動量由流場的某一空間帶入另一空間,這種沿流體流動方向上的動量傳輸形式稱為動量的對流傳輸;
•流動得較快的流體靠粘性力把側邊流動得較慢的流體帶動使運動得更快,出現了流體動量由流速較大的流層向流速較小的流層傳輸過程,這種動量傳輸形式稱為粘性動量傳輸。
動量通量
動量通量流體具有一定的質量,在流動時,又有一定速度,所以流動的流體就具有一定的動量。流體的動量 。在單位時間內流體傳遞的動量稱為動量率。在單位時間內,通過單位面積流體所傳遞的動量稱為動量傳遞率,其值為 。動量傳遞率亦稱為動量通量,也就是動量的通過量。從量綱分析來看,它也相當於單位面積上的作用力或單位體積的能。流體動量的傳遞可分為兩種,即通過對流引起的動量傳遞和通過粘性引起的動量傳遞。
又有,動量率=動量通量×傳輸面的面積 。
對流動量通量
由於流體本身具有一定的質量,當它以一定速度流動時,就將動量傳輸到另一地方,這就形成了對流動量的傳輸過程,其傳輸方向與流體運動方向相一致。
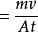
若流體的質量為m,速度為v,則在單位時間內通過單位面積的動量就是對流動量通量(又稱為對流動量傳遞率)。即:
動量通量對流動量通量
式中 A-流體流過的截面積(m )
t-流體流過的時間(s)
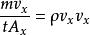
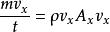
動量通量若流體沿x軸方向流動,其速度為v。流體通過的面積為 ,流體的密度為ρ,在t時間內,流過A面的質量為:
動量通量單位時間內流過A面的動量為:
動量通量因此,單位時間內通過單位面積的動量為:
動量通量粘性動量通量
由於流體本身粘性的作用,當以一定速度流動時,流體本身各流層之間或與固體表面之間也形成了動量的傳輸,它只有在流層問具有不同速度的情況下才能產生。它是將速度較快的流層通過粘滯力將動量傳遞給速度較慢的流層或速度為零的流體或固體,速度不等實際上就是動量不同,高動量流體通過粘滯力將動量傳給低動量的流體,這樣就形成了粘性動量的傳輸過程,其傳輸方向與運動方向垂直。流體流動的狀態不同,其動量傳輸的性質也不相同。
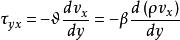
根據動量通量的定義,如觀察沿x軸方向的流體運動,則動量通量的表示式應為:
動量通量式中 A-傳輸動量的面積,即相鄰不同流動速度流體層之間的接觸面積;
t-接觸時間;
動量通量而F只為兩流層接觸面上的切向力,根據理論力學中的動量定理, 。
動量通量
動量通量分析上式右項的物理意義.可見 恰好為A面上的切應力,即τ。因此粘性動量通量即為動量傳輸面上的切應力,由於動量傳輸的方向與速度梯度 的方向相反,故作為動量通量。由於黏性切應力公式,所以有:
動量通量τ其中第一腳標y表示動量傳輸的方向,第二腳標x表示動量的方向。從動量傳輸的觀點出發,上式中的動力粘度係數η又可表示流體傳輸粘性動量能力的大小。η越大,流體傳輸粘性動量的能力就越大;反之η越小,流體傳輸粘性動量的能力就越小;而運動粘度係數β表示流體中動量趨於一致的能力。β越大,流體中動量趨於一致的能力就越大,流體流動紊亂的可能性就越小;反之,β越小,流體中動量趨於一致的能力就越小,流體流動易於趨向紊亂。
需要注意的是,作為動量通量,τ的方向總是垂直於流體流動的方向,並指向速度梯度的相反方向,如作為切應力,τ與流體流動的方向平行。
