發展背景
機械產品和設備日益向高速、精密、輕量化方向發展,產品結構日趨複雜,對其工作性能的要求越來越高,為滿足機械具有良好的靜、動特性和低振動、低噪聲的要求,必須對機械產品和設備進行動態分析設計。
實際產品往往是由一定數量的零件通過各種方式聯接而成的機械系統,這時需要對整個系統進行靜態和動態分析。尤其是對於高速重載的機械產品,其動態性能是決定產品質量和使用壽命的關鍵因素,產品運行中振動、噪音、動應力和動變形的大小都直接取決於其動態性能的好壞。
機械動態分析設計是正在發展中的一項新技術,涉及眾多學科,如現代動態分析、結構動力學理論等,其完整的動態設計理論和方法體系還未形成。
理論基礎
為了便於分析,通常把系統看成是一個其內部情況不明的黑箱,通過外部觀察,根據其功能對黑箱和周圍不同的信息聯繫進行分析,求出它們的動態特性參數,然後進一步尋求它們的機理和結構。這種方法可稱為“外部求內法”。用這種方法進行分析,首先要建立對象的數學模型,通常用復域中的傳遞函式、頻域中的頻率特性及時域中的微分特性來描述其數學模型。
動態分析的主要理論基礎是模態分析和模態綜合理論,採用的主要方法有:有限元分析方法、模型試驗方法及傳遞函式分析法等。
有限元分析方法
輪齒的有限元劃分有限元法是一種套用最廣泛的理論建模方法,它是運用計算機求解數學、物理問題的近似數值解法。在動力分析中,利用彈性力學有限元方法建立結構的動力學模型,進而計算出結構的固有頻率、振型等模態參數及動力回響(動位移和動應力),在此基礎上還可根據不同需要對機械結構進行動態設計。
因為有限元法具有精度高,適應性強,其計算格式規範統一等特點,故套用十分廣泛。
模型試驗方法
模型試驗方法主要套用激振回響法測定系統動力特性,包括各階固有頻率、各階模態振型、有關點的動柔度等,再利用這些數據進行分析,找出系統的薄弱環節,然後提出改進措施加以實現。動態測試技術已經能對各種測試信號進行多種變換和分析,如快速傅立葉變換、頻譜分析、相關分析、功率譜分析等等,並已然發展了相應的分析儀器和軟體系統。利用測試信號的有關分析和處理,便能揭示機構系統的動態特性。但是,沒有利用動力學模型的試驗方法只能得出改進設計的方向性指導,不能定量地顯示設計的改進細節。
傳遞函式分析法
傳遞函式分析法是動態分析設計法研究的中心內容。因為利用傳遞函式不必求解微分方程就可研究初始條件為零的系統在輸入信號作用下的動態過程,同時還可以研究系統參數變化或結構參數變化對動態過程的影響,因而使分析和研究過程大為簡化。另一方面,還可以把對系統性能的要求轉化為對系統傳遞函式的要求,把系統的各種特性用數學模型有機地結合在一起,使綜合設計易於實現。
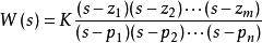
系統的傳遞函式
動態分析設計
動態分析設計
動態分析設計
動態分析設計
動態分析設計式中,是的分子多項式方程等於零時的根,稱為系統的零點。是的分母多項式方程等於零時的根,稱為系統的極點。
研究現狀
動態分析設計是現代設計方法與傳統設計方法的一個基本分野。機械工程各行業中都先後採用了動態分析設計,在減輕機器重量,提高機器性能和可靠性方面取得了很大的成就。工程機械由於其作業工況的複雜性和隨機性,在動態設計中不僅要考慮其本身在不同作業姿態和司機操作指令下的動力學因素,而且還要考慮到作業對象的不均勻性和地麵條件的不恆定因素。因此,過去工程機械動態分析設計受到兩方面的制約,一是建立較切合實際的動態載荷模型和機器本身的動態模型,二是解算這些模型的手段。
通過大量的測試數據(包括實驗室的和現場的)的積累和快速傅立葉變換(FFT)分析技術的發展,為套用領域的載荷譜取代時域的載荷歷程創造了條件。另一方面,計算機軟體科學的發展提供了各種建立模型和分析的工具。藉助於這些手段並採用模組法,將作為一個機械系統的整機分解成若干子系統模組,通過各模組邊界條件的耦合和不同分析運算,來解決整機各部分以及總體的動態性能與強度分析和設計問題 。

