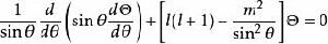
勒讓德方程(Legendre equation):連帶勒讓德方的特殊情形。在球坐標系下將球函式方程分離變數時,可出現連帶勒讓德方程。即:
勒讓德方程
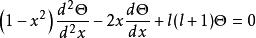
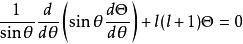
勒讓德方程 當 ,即軸對稱時,勒讓德方程為:
勒讓德方程 或:
勒讓德方程
勒讓德方程
勒讓德方程
勒讓德方程
勒讓德方程
勒讓德方程
勒讓德方程 其中, 。勒讓德方程和連帶勒讓德方程隱含著 (即 )的“自然邊界條件”,並構成本徵值問題,決定了 只能取整數值。本徵值為 ,本徵函式是 階勒讓德多項式。
