簡介
一般最小二乘法將時間序列中的各項數據的重要性同等看待,而事實上時間序列各項數據對未來的影響作用應是不同的。一般來說,近期數據比起遠期數據對未來的影響更大。因此比較合理的方法就是使用加權的方法,對近期數據賦以較大的權數,對遠期數據則賦以較小的權數。
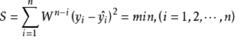
加權最小二乘法採用指數權數W,0<W<1,加權以後求得的參數估計值應滿足:
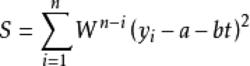
加權最小二乘估計以直線模型
加權最小二乘估計為例,其加權的剩餘平方和為:
加權最小二乘估計對上式分別求a和b的偏導數,得到標準方程組:
加權最小二乘估計對上述方程解出a和b,就得到加權最小二乘法直線模型。套用加權最小二乘法,W的取值不同,解出的a,b也不同,因此W值取多少,需要經分析後確定 。
非線性回歸的線性擬合加權最小二乘估計
為了探討非線性回歸的線性化擬合技術,改善線性化技術對非線性回歸的擬合效果,科研人員通過設立適當的權重,採用加權最小二乘法對非線性回歸的線性化方程進行擬合。在討論非線性模型與相應的直線化模型誤差間關係的基礎上,導出了利用線性化方程進行加權最小二乘估計的權重,使得利用加權最小二乘估計得到的模型參數的估計誤差近似於直接對非線性模型進行估計得到的估計誤差,建立了非線性回歸的加權線性化擬合技術。非線性回歸的加權線性化擬合技術能較好地改善線性化技術對非線性回歸的估計效果 。
最小二乘估計的套用
最小二乘估計雖然是一個非常“古老”的估計方法,但是他的套用非常廣泛,他適用於線性觀測模型,而且他不規定估計問題的機率或統計描述由最小二乘估計的變形引入的加權最小二乘估計也是一種套用非常廣泛的參數估計方法,雖然關於這方面的參考資料很多,但內容基本一致,而且在分析加權係數的取值時,分析過程大多不全而且思路不是很清嘛本文通過對加權最小二乘估計的深入分析,力求給出詳細的分析過程和正確的分析結果。
在無線感測器網路定位中的套用
節點自身定位是無線感測器網路領域研究的重點之布定位誤差累積問題是節點定位中必須解決的一個關鍵問題,利用加權最小二乘估計的方法可以有效抑制累積誤差的影響介紹了如何將加權最小二乘估計套用於節點定位以及如何合理地選擇加權係數以降低定位誤差仿真實驗表明,運用加權最小二乘估計可以有效地抑制誤差累積的影響,提高定位精度 。

