加權平均數指數的具體形式
加權平均數指數因權數所屬時期的不同,分為基期總量加權指數和報告期總量加權指數以及固定權數加權指數。
1.加權算術平均數指數
加權算術平均數指數按採用權數的形式不同可以分為基期權數的算術平均數指數和固定權數的算術平均數指數。
(1)基期權數的算術平均數指數。
加權平均數指數
加權平均數指數它是採用基期總量指標價值總額作為權數,對個體指數進行加權平均計算的指數。其公式如下:
式中,p、q分別表示商品的價格和銷售量;0、1分別表示基期和報告期;I表示總指數。
(2)固定權數的算術平均數指數。
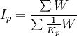
加權平均數指數
加權平均數指數在國內外廣泛使用的加權算術平均數指數中,所用的權數並不是基期或報告期的價值指標(p0q0 或p1q1 ),而是採用某種固定權數(W)。固定權數是指某一個固定時期的權數,即可以根據全面調查資料,也可以採用各種有關抽樣調查資料,用相對數(比重)的形式固定下來,在相當長的時期內一直使用相當方便。如資本主義國家編制的工業生產指數,多採用工業部門增加值所占的比重資料作為權數。固定權數形式的加權算術平均數指數公式為:
上式中,W代表某一固定時期的權數。
2.加權調和平均數指數
加權調和平均數指數按採用權數形式的不同也可以分為兩種:報告期權數的調和平均數指數和固定權數的調和平均數指數。
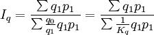
加權平均數指數
加權平均數指數(1)報告期權數的調和平均數指數。它是採用報告期價值量作為權數,對個體指數進行加權平均計算的指數。其公式如下:
加權平均數指數
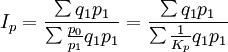
加權平均數指數(2)固定權數的調和平均數指數。這種加權調和平均數指數在實際工作中套用較少。其計算公式如下:
