簡介
芳烴不容易發生這種親核取代,只有當環上有強吸電子基時,反應才能進行,或比較容易進行。
例如直接由苯與鹼作用不能得到苯酚,但將硝基苯與粉狀KOH共熱,可以發生硝基的鄰位或對位氫被羥基取代而生成相應硝基酚的取代反應。OH 進攻硝基的鄰位或對位時,形成的活潑中間體的負電荷可被硝基進一步分散。硝基的這種作用,以對位取代為例,可用共振結構式表示如下:
共振結構式如果OH 進攻間位,硝基就起不了這種作用。在這種親核取代中,從芳環上離去的是鹼性很強很不穩定的H ,所以反應的進行並不是很容易的,反應收率一般不高。如果叢芳環上離去的不是H ,而是比較穩定的負離子(如鹵負離子),反應就會比較順利。例如鄰、對位有硝基的氯苯,其氯原子能比較順利地被多種親核基團所取代。六元含氮雜環由於環上電荷密度低,比較容易發生親核取代。毗啶就比苯容易得多。主要生成α-位或γ-位取代產物。以α位取代為例,反應機理可如下表示:
反應機理羧基碳上加成消除機理
羧酸中的羰基表現出與醛,酮中的羰基類似的反應性;碳的親核進攻和氡的親電進攻。然而,羧基結構中OH基團的存在使得羧酸有著另一方面的化學性質。如同在醇中一樣,這個OH可被轉變成離去基團。結果是,在羰基碳的親核加成發生後,離去基團離去,導致淨的取代過程和新的羰基化合物的生成。
羰基碳受到親核進攻
羰基碳是親電性的,可能被親核劑進攻。在羧酸和羧酸衍生物(具有通式RCOL的底物,其中L代表離去基團)中觀察到了這類反應性。
羧酸衍生物與醛和酮的加成產物不同,羧基碳上親核進攻形成的中間體通過消除一個離去基團而分解。總的結果是親核劑通過所謂的加成消除過程而取代離去基團。在此轉化中首先形成的物種含有一個四面體的碳中心(與原料及產物不同),因此它被稱為四面體中間體。
親核取代反應通過加成消除機理的親核取代反應,是羧酸衍生物及其互相轉變的重要途徑。
酸或鹼催化加成消除機理
在酸或鹼催化下,羧酸衍生物可發生類似於酯化反應的親核取代反應,離去基團被親核試劑取代,反應按加成一消除機理進行。以酸催化為例:
在酸催化下,反應涉及以下五個步驟:
第一步:質子化活化羰基。
步驟一第二步:親核試劑(HNu)對質子化的羰基進行親核加成。
步驟二第三步:質子轉移至離去基團(L),離去基團被活化。
步驟三第四步:離去基團離去。
步驟四第五步:脫去質子,得到親核取代產物。
步驟五羧酸衍生物羰基上的親核進攻,是加成消除機理取代反應中的一個關鍵步驟。酸或鹼都可催化此反應。對於羧酸而言,由於不良的離去基團(氫氧根) 和酸被親核劑(作為鹼)的競爭性去質子化,從而使過程變得複雜。用弱鹼性的親核劑,加成能夠發生。
相關擴展
消除加成機理:
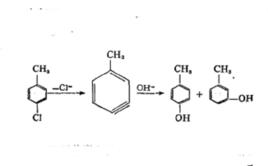
環上沒有強吸電子基的鹵代芳烴與氫氡化鈉水溶液共熱,難以發生親核取代反應。但是在強烈的反應條件下立或者用鹼性極強的試劑(如NaNH/液NH)還是可以發生鹵原子被取代的反應的。在這樣的條件下,反應是按消除加成機理,或稱苯炔機理進行的。
消除加成機理
