概念
剪下鎖死現象一般發生在出現彎曲變形的線性完全積分單元中(例如:CPS4、CPE4、C3D8)。線性單元的直邊不能承受彎曲載荷作用,分析過程中可能出現原本不存在的虛假剪應變,使單元的彎曲剛度過大,計算的位移值偏小,即單元的位移場不能模擬由於彎曲而引起的剪下變形和彎曲變形,這就是所謂的“剪下鎖死”現象。當單元長度與厚度的數量級相同或長度大於厚度時,此現象會更加嚴重。
有限元驗證
剪下鎖死
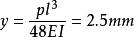
剪下鎖死一個長1m,截面尺寸為0.1m*0.1m,兩端簡支的梁,中間受一個集中荷載(F=1000N),結構示意圖如圖所示,材料參數:E=1GPa, =0.2。依據材料力學,理論解應為。
剪下鎖死採用四結點四邊形等參單元離散,劃分不同格線密度:在長度方向上等分10份,在厚度方向上分別等分1份、2份、4份和8份,其中對厚度等分8份的情況還進行了水平向等分20份和50份的分析,有限元格線圖如圖所示,取梁中間最下方結點的的豎直向位移與理論解進行對比。
格線劃分示意圖對上述不同有限元格線模型進行分析,採用PLANE182單元默認的積分方式,得到梁中間最下方結點的豎直向位移如表所示,表中ndivX為水平向劃分單元份數,ndivY為梁厚度方向劃分的單元份數。從表中可以看出,只有當梁採用非常密的格線時才能得到與理論解比較接近的值。這說明:1、對這種細長結構,採用實體單元進行離散是非常不經濟的,而採用線性形狀的梁單元只需要很少的單元就能夠得到精確的結果;2、當單元比較少時,由於出現的剪下鎖死現象導致計算結果偏小,這是由於剪力鎖閉消耗了一定的剪下能量,彎曲變形就小了。
不同方向單元數表通過上面的分析,我們可以看出在用有限元進行分析時,剪下鎖死現象的確是存在的。
產生原因
離散後的單元長邊與短邊之較大,單元狹長,此時單元承受垂直於長邊的荷載,使單元的變形以彎曲變形為主,板、殼厚度極小而剪下應變接近於零,剪下應變能會被過分誇大,從而導致剪下鎖死。
消除辦法
如果懷疑模型中出現了剪下鎖死現象,可以考慮採用減縮積分單元、非協調單元或高次單元來儘可能的消除這種現象。其中減縮積分單元在一定程度消除剪下鎖死的同時,可能會出現沙漏現象;非協調單元在單元形狀比較畸形時計算結果會非常差;高次單元由於單元節點增加,計算工作量會有很大的提高。
剪下鎖死是否會產生,與結構受力、單元形狀、單元模式選取等多因素相關,若想消除這種現象,需要了解每一種方法的適用範圍、優缺點等,選取合適、正確的方法去進行分析,只有這樣,才能得到合理的計算結果。值得注意的是,僅僅改變單元類型往往不會使計算結果得到很大的改進,劃分格線時應儘可能的保證單元形狀是規則的。
