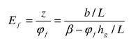
也就是車輪將要抱死時的制動強度與被利用的附著係數之比。
前軸的制動效率
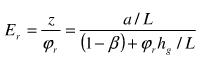
後軸的制動效率
制動效率是指車輪不鎖死的最大制動減速度與車輪和地面間附著係數的比值。
也就是車輪將要抱死時的制動強度與被利用的附著係數之比。
前軸的制動效率
後軸的制動效率制動電阻,是波紋電阻的一種,主要用於變頻器控制電機快速停車的機械系統中,幫助電機將其因快速停車所產生的再生電能轉化為熱能。
構件 原理 功用 阻值選擇 功率制動,俗稱“剎車”。使運行中的機車、車輛及其他運輸工具或機械等停止或減低速度的動作。制動的一般原理是在機器的高速軸上固定一個輪或盤,在機座上安裝與之相適...
歷史發展 現狀 發展趨勢 相關技術動力制動是異步電動機制動的一種方法。它是將機械能通過異步電動機消耗在制動裝置上,如能耗制動裝置、制動電阻和電磁抱閘等,這些方法能量利用率低、性能較差,適...
簡述 動力制動裝置功能 動力制動系統 動力制動操縱 動力制動的套用電磁製動electromagneticbrake 使機械中的運動件停止或減速的機械零件。俗稱剎車、閘。制動器主要由制動架、制動件和操縱裝置等組成。有些制...
基本原理 主要分類 基本功用 電磁製動剎車減速電機 電磁製動剎車減速電機定義制動轉矩是阻礙電機啟動的轉矩,需要通過有效抑制發電制動轉矩和脈動轉矩,才能夠使電機起動能力得到顯著增強。電機極對數不同,制動轉矩也不同。 最大制動轉矩是...
制動轉矩介紹 原理 特性 套用制動防抱死系統(antilock brake system)簡稱ABS。作用就是在汽車制動時,自動控制制動器制動力的大小,使車輪不被抱死,處於邊滾邊滑(...
發展歷史 分類 性能特點 優點 局限性制動電阻器是用於將電動機的再生能量以熱能方式消耗的載體,它包括電阻阻值和功率容量兩個重要的參數,廣泛套用於高度惡劣工業環境中使用。
簡介 用處 相關計算能耗制動方式通過斬波器和制動電阻,利用設定在直流迴路中的制動電阻來吸收電機的再生電能,實現變頻器的快速。
能耗制動 回饋制動 直流制動 共用直流母線回饋制動 套用場合