利福黴素基本信息
中文名稱
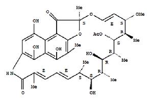
結構式CASNO.
6998-60-3中文別名
利福黴素S鈉英文名稱
RIFAMYCINSV英文別名
17,19,21-hexahydroxy-23-methoxy-2,4,12,16,18,20,22-heptamethyl-21-acetate;rifamicinesv;
rifamycin;
rifocin;
rifocyn;
RifamycinS-Na
EINECS
230-273-3分子式
C37H47NO12分子量
697.77利福黴素類抗生素由地中海鏈絲菌產生的一類抗生素,它具有廣譜抗菌作用,對結核桿菌、麻風桿菌、鏈球菌、肺炎球菌等革蘭氏陽性細菌,特別是耐藥性金黃色葡萄球菌的作用都很強。對某些革蘭氏陰性菌也有效。
利福黴素類藥物有:利福黴素B二乙醯胺、利福平等。目前在臨床套用的有利福平、利福噴汀及利福布汀。
利福平是其中藥效最好、目前套用最多的一種,不僅抗菌譜廣,能用於多種細菌感染性疾病,而且與其他藥物之間無交叉抗藥性,對結核病的療效尤為突出,是治療結核病的第一線藥物12awdq
分子結構:

