成份
利君沙本品主要成份為:琥乙紅黴素。
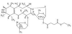
學結構式為:
分子式:CHNO
分子量:862.07
性狀
本品為混懸顆粒;味甜芳香。
規格
按(CHNO)計算 0.1g(10萬單位)
用法用量
利君沙口服,將顆粒倒入適量的溫水上,搖勻後服用。
兒童用量:按照體重一次7.5-12.5mg/kg,一日4次,具體參考用量表。
成人用量;每次5包,一日3次。預防鏈球菌感染,一次4包,一日2次。衣原體或溶脲脲原體感染,一次8包,每8小時1次,共7日;或一次4包,每6小時1次,共14日。軍團菌病患者,一次4-10包,一日4次。
不良反應
1、服用本品後發生肝毒性反應者較服用其他紅黴素製劑為多見,服藥數日或1~2周后患者可出現乏力、噁心、嘔吐、腹痛、皮疹、發熱等。有時可出現黃疸,肝功能試驗顯示淤膽,停藥後常可恢復。
2、胃腸道反應有腹瀉、噁心、嘔吐、中上腹痛、口舌疼痛、胃納減退等,其發生率與劑量大小有關。
3、大劑量〈≥4g/日〉套用時,尤其肝、腎疾病患者或老年患者,可能引起聽力減退,主要與血藥濃度過高(>12mg/L)有關,停藥後大多可恢復。
4、過敏反應表現為藥物熱、皮疹、嗜酸粒細胞增多等,發生率約0.5%~1%。
5、其他,偶有心律失常,口腔或陰道念珠菌感染。
禁忌
嚴重肝功能損害者及對本品過敏者禁用。
注意事項
1.溶血性鏈球菌感染用本品治療時,至少需持續10日,以防止急性風濕熱的發生。
2.腎功能減退患者一般無需減少用量,但嚴重腎功能損害者本品的劑量應適當減少。
3.用藥期間定期檢查肝功能。
4.患者對一種紅黴素製劑過敏或不能耐受時,對其他紅黴素製劑也可能過敏或不能耐受。
5.因不同細菌對紅黴素的敏感性存在一定差異,故應做藥敏測定。
孕婦及哺乳期婦女用藥
1.因出現肝毒性反應的可能性增加,故孕婦禁用。
2.由於本品有相當量進入母乳中,故哺乳期婦女慎用或暫停哺乳。
藥物相互作用
1.本品可抑制卡馬西平和丙戊酸等抗癲癇藥物的代謝,導致其血藥濃度增高而發生毒性反應。與阿芬太尼合用可抑制後者的代謝,延長其作用時間。與阿司咪唑或特非那定等抗組胺藥合用可增加心臟毒性,與環孢素合用可使後者血藥濃度增加而產生腎毒性。
2.本品與氯黴素和林可醯胺類有拮抗作用,不推薦同時使用。
3.本品為抑菌劑,可干擾青黴素的殺菌效能,故當需要快速殺菌作用如治療腦膜炎時,兩者不宜同時使用。
4.長期服用華法林的患者套用本品時可導致凝血酶原時間延長,從而增加出血的危險性,老年病人尤應注意。兩者必須同時使用時,華法林的劑量宜適當調整,並嚴密觀察凝血酶原時間。
5.除二羥丙茶鹼外,本品與黃嘌呤類藥物同時使用可使氨茶鹼的肝清除減少,導致血清氨茶鹼濃度升高和(或)毒性反應增加。這一現象在合用6日後較易發生,氨茶鹼清除的減少幅度與本品血清峰值成正比。因此在兩者合用時和合用後,黃嘌呤類藥物的劑量應予調整。
6.與其他肝毒性藥物合用可能增強肝毒性。
7.大劑量本品與耳毒性藥物合用,尤其腎功能減退患者可能增加耳毒性。
8.與洛伐他汀合用時可抑制其代謝而使血濃度上升,可能引起橫紋肌溶解;與咪達唑侖或三唑侖合用時可減少兩者的清除而增強其作用。
藥理毒理
利君沙 藥品本品屬大環內酯類抗生素,為紅黴素的琥珀酸乙酯,在胃酸中較紅黴素穩定。對葡萄球菌屬(耐甲氧西林菌株除外)、各組鏈球菌和革蘭陽性桿菌均具抗菌活性。奈瑟菌屬、流感嗜血桿菌、百日咳鮑特氏菌等也對本品敏感。本品...
本品屬大環內酯類抗生素,為紅黴素的琥珀酸乙酯,在胃酸中較紅黴素穩定。對葡萄球菌屬(耐甲氧西林菌株除外)、各組鏈球菌和革蘭陽性桿菌均具抗菌活性。奈瑟菌屬、流感嗜血桿菌、百日咳鮑特氏菌等也對本品敏感。本品對除脆弱擬桿菌和梭桿菌屬以外的各種厭氧菌亦具抗菌作用。對軍團菌屬、胎兒彎曲菌、某些螺鏇體、肺炎支原體、立克次體屬和衣原體屬和衣原體也有抑制作用。
本品系抑菌劑,但在高濃度時對某些細菌也具殺菌作用。本品可透過細菌細胞膜,在接近供位(“P”位)與細菌核糖體的5OS亞基形成可逆性結合,阻斷轉移核糖核酸(t-RNA)結合至“P”位上,同時也阻斷了多肽鏈自受位(“A”位)至“P”位的位移,從而抑制細菌蛋白質合成。
藥代動力學
本品在腸道中以基質和酯化物的形式被吸收,在體內酯化物部分水解為鹼。空腹口服500mg後,0.5~2.5小時達血藥峰濃度,酯化物及鹼二者的總濃度為15 mg /L,游離鹼為0.6mg/L。吸收後除腦脊液和腦組織外,廣泛分布於各組織和體液中,尤以肝、膽汁和脾中的濃度為高,在腎、肺等組織中的濃度可高出血藥濃度數倍,在膽汁中的濃度可達血藥濃度的10~40倍以上。在皮下組織、痰及支氣管分泌物中的濃度也較高,痰中濃度與血藥濃度相仿;在胸、腹水、膿液等中的濃度可達有效水平。本品有一定量(約為血藥濃度的33%)進入前列腺及精囊中,但不易透過血腦屏障,腦膜有炎症時腦脊液中濃度僅為血藥濃度的10%左右。可進入胎血和排入母乳中,胎兒血藥濃度為母體血藥濃度的5%~20%,母乳中藥物濃度可達血藥濃度的50%以上。表觀分布容積為0.9L/kg。蛋白結合率為70%~90%。游離紅黴素在肝內代謝,T為1.4~2小時,無尿患者的T可延長至4.8~6小時。紅黴素主要在肝中濃縮和從膽汁排出,並進行腸肝循環,約2%~5%的口服量自腎小球濾過排出,尿中濃度可達10~100mg/L。糞便中也含有一定量。血液透析或腹膜透析後極少被清除,故透析後無需加用。
貯藏
遮光,密封,在乾燥處保存。
包裝
複合膜包裝,12包/盒。
執行標準
《中國藥典》2010年版二部
生產企業
西安利君製藥有限責任公司
修訂日期
2008年11月25日 2009年07月17日 2010年09月13日

