定義
切弦亦稱切點弦,是一條特殊弦。
從圓外一點向圓引兩條切線,連結此兩切點的弦稱為切弦。
性質
圓心與已知點點連線垂直平分切弦,如圖,P 是圓外一點,PA,PB 與⊙O 相切,切點是 A,B,AB 是切弦,此時,OP 垂直平分 AB。
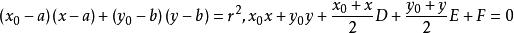
圖1.切點弦方程
設P(x, y)是圓錐曲線上(外)一點,過點P引曲線的兩條切線,切點為A , B兩點,則A , B兩點所在的直線方程為切點弦方程。
圓錐曲線的切點弦方程如下:
切弦圓:。
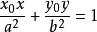
切弦橢圓:。
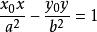
切弦雙曲線:。
切弦拋物線:。

切弦亦稱切點弦,是一條特殊弦。從圓外一點向圓引兩條切線,連結此兩切點的弦稱為切弦。圓心與已知點點連線垂直平分切弦。
切弦亦稱切點弦,是一條特殊弦。
從圓外一點向圓引兩條切線,連結此兩切點的弦稱為切弦。
圓心與已知點點連線垂直平分切弦,如圖,P 是圓外一點,PA,PB 與⊙O 相切,切點是 A,B,AB 是切弦,此時,OP 垂直平分 AB。
圖1.設P(x, y)是圓錐曲線上(外)一點,過點P引曲線的兩條切線,切點為A , B兩點,則A , B兩點所在的直線方程為切點弦方程。
圓錐曲線的切點弦方程如下:
切弦圓:。
切弦橢圓:。
切弦雙曲線:。
切弦拋物線:。
口弦,是回族民間自製、自娛性的一種微型彈撥樂器,是固原回族婦女中常見的一種娛樂形式。口弦,用箭竹為材料,大約15-16厘米長,大頭寬2-3厘米,小頭寬1...
簡介 口弦的製作 口弦的調式 口弦的演奏 特點Problem the quadrilateral
大弦戲原稱公興班,又名弦子戲,是一個古老而稀有的多聲腔劇種,它以河南開封、濮陽為中心,流行於河南省東北部、河北省南部、山東省西南部一帶。一般認為大弦戲與...
詳細介紹 劇種資源 歷史 藝術特色 現狀《溫暖的弦》 由安寧編寫,花山文藝出版社出版。這是一個溫暖的故事,收藏一段失而復得的愛情。願你相信,即使披荊斬棘,即使歲月漫漫,那個你守候的人,終將為你...
作者介紹 內容介紹 目錄 精典語錄 出版信息弦切面是指順著樹幹主軸或木材紋理方向,不通過髓心與年輪平行或與木射線成垂直的縱切面。根據弦切面的不同紋路可以作為鑑別木材的依據之一。
概念 木材的三個切面 不同刨削深度毛竹材弦切面的潤濕性能《溫暖的弦》 由安寧編寫,花山文藝出版社出版。這是一個溫暖的故事,收藏一段失而復得的愛情。願你相信,即使披荊斬棘,即使歲月漫漫,那個你守候的人,終將為你...
作者介紹 內容介紹 目錄 精典語錄 出版信息焦點弦是指橢圓、雙曲線或者拋物線上經過一個焦點的弦。焦點弦簡述為數學中的弦是指同一條圓錐曲線或同一個圓上兩點連線而成的線段。 焦點弦是由兩個在同一條直線...
焦點弦概念 性質套用 例子弦超是三國時期的魏國人,長期在魏都洛陽為官,當時就有他與神女交往的傳說在洛陽流傳。
基本信息 民間傳說 搜神記原文脈弦細指的是一種細脈。比微脈稍大一點,在指下感覺到只象一根絲線那么小,而且是軟弱無力的。儘管細小,卻始終都可明顯地摸著它,不象微脈那樣模糊不清按:脈來沉...
二十八脈象 脈象分類與主病