同分母的分式相加減
同分母的分式相加減,分母不變, 把分子相加減。用式子表示為:
分式加減法法則
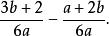
分式加減法法則【例1】計算:
分式加減法法則解:原式=
分式加減法法則【例2】計算:
分式加減法法則解:原式=
異分母的分式相加減
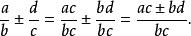
異分母的分式相加減,先通分,變 為同分母的分式,然後再相加減。用式子表示為:
分式加減法法則
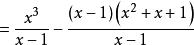
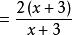
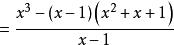
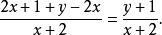
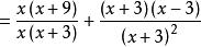
分式加減法法則【例1】計算:
分式加減法法則解:原式=
分式加減法法則
分式加減法法則
分式加減法法則
分式加減法法則
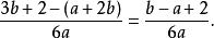
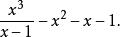
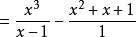
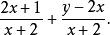
分式加減法法則【例2】計算:
分式加減法法則解:原式
分式加減法法則
分式加減法法則
分式加減法法則
