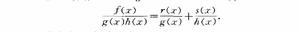
分式分解定理.主要結論是:設f(二)/g(x)h(二)為真分式,g(x)與h(x)互素,g(二)}f<x)}h(二)}f(二),則有惟一的真分式:(x)/g(x)與、(二)/h(x),使
分式分解定理(principle of decomposition of afraction)分式的一種恆等變形.關於一個一元真分式總可以按其分母的因式化成若干一元真分式的和。
分式分解定理.主要結論是:設f(二)/g(x)h(二)為真分式,g(x)與h(x)互素,g(二)}f<x)}h(二)}f(二),則有惟一的真分式:(x)/g(x)與、(二)/h(x),使
分式的部分分式分解是分式的一種分解方式.把一個既約有理真分式寫成部分分式和的形式的過程。
經過有理式的恆等變形,任何有理式總能化為某個既約分式.如果這個既約分式是只含有一個自變數的真分式,還可進一步化為若干個既約真分式之和,這幾個分式便稱為原...
簡介 分解定理 相關概念《國中數學概念公式定理全書》是2010年上海遠東出版社出版的圖書,作者是李道洲。
內容簡介 圖書目錄整式的加減1.代數式2.整式3.整式的加減運算◆常考題型第三章 水1.水的組成2.氫氣3.水的淨化4.愛護水資源◆常考題型第四章 溶液1.溶液的基本概念...
基本信息 編輯推薦 內容簡介 目錄公式 八年級下冊數學 定理1、分式定義:如果A、B表示兩個整式,並且B中含有字母,那么式子A/B叫做分式,分式有意義的條件是分母不為零,分式值...的最低公倍數和分解因式4.分式的運算:分式乘法法則:兩分式分子分母分別相乘...
公式 其他 分章解析 反比例函式 勾股定理又可以分為整式和分式,而整式又可以分為單項式和多項式。 2.1.3列...
5.3 平行線的性質5.3.1 平行線的性質5.3.2 命題、定理5.4... 整式的除法教學活動小結複習題14第十五章 分式15.1 分式15.2 分式的運算閱讀與思考 容器中的水能倒完嗎15.3 分式方程數學活動小結...
章節目錄 圖書目錄 概念定義 學習方法 預防分化十字相乘法的理論依據 多項式分解因式的步驟歸納 (七)分式 分式的定義... 三邊的關係三角形邊與角的關係 三角形三邊關係定理的套用 三角形角與角間的關係定理的套用 (三)三角形的“三線”與“四心” 三角形的“三線”三角形...
1圖書信息 內容簡介 2圖書信息 內容提要 編輯推薦三邊關係定理的套用三角形角與角間的關係定理的套用(三)三角形的“三線...的定義等邊三角形等腰直角三角形判定定理性質定理等腰三角形三線合等邊三角形四心合(六)直角三角形直角三角形的表示法等腰直角三角形判定定理性質定理...
圖書信息 內容提要 編輯推薦 目錄