分子擴散係數
正文
表征物質分子擴散能力的物理量,受系統的溫度、壓力和混合物中組分濃度的影響。根據斐克定律,組分A在組分B中的分子擴散係數,其值等於該物質在單位時間內、單位濃度梯度作用下、經單位面積沿擴散方向傳遞的物質量。組分在氣體中分子擴散係數約10-5~10-4m2/s,在液體中約為10-9~10-10 m2/s,在固體中約為10-9~10-14 m2/s。分子擴散係數的準確數值是通過實驗測定的。氣體和液體中的分子擴散係數,也用一些半經驗公式估算。
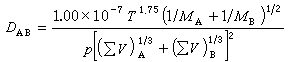
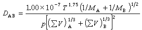
氣體中的分子擴散係數 對於壓力不太高的雙組分氣體混合物,將分子結構和運動作適當簡化後,用氣體分子運動論能夠導出計算分子擴散係數的理論式,再根據實驗結果作適當修正得出半經驗的計算式。例如:

液體中的分子擴散係數 曾有人對於稀溶液中溶質的分子擴散作過一些理論分析,導出了如下的關係式:


固體中的分子擴散係數 若固體內部存在某一組分的濃度梯度, 也會發生擴散, 例如氫氣透過橡皮的擴散,鋅與銅形成固體溶液時在銅中的擴散,以及糧食內水分的擴散等。物質在固體中的擴散係數隨物質的濃度而異,且在不同方向上其數值可能有所不同,目前還不能進行計算。各種物質在固體中的擴散係數差別可以很大,如氫在25℃時在硫化橡膠中為0.85×10-9m2/s,氦在20℃時在鐵中為2.6×10-13m2/s。

