刃位錯刃位錯:一個刃位錯附近的晶面排列情況,圖中黑線代表伯格斯矢量方向,藍線為位錯線。 刃位錯附近的原子排列情況,沿平行於位錯線方向觀察若一個晶面在晶體內部突然終止於某一條線處,則稱這種不規則排列為一個刃位錯。
概述
刃位錯計算公式刃位錯附近的原子面會發生朝位錯線方向的扭曲。刃位錯可由兩個量唯一地確定:第一個是位錯線,即多餘半原子面終結的那一條直線;第二個是伯格斯矢量(Burgers vector,簡稱伯氏矢量或柏氏矢量),它描述了位錯導致的原子面扭曲的大小和方向。對刃位錯而言,其伯氏矢量方向垂直於位錯線的方向。
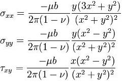
利用彈性力學理論可求得刃位錯導致的應力場為:其中 μ 為材料的剪下模量,b 為伯格斯矢量,ν 為泊松比,x 和 y 為直角坐標分量。 從上述解中可以看出,在含有多餘半原子面的一側(y > 0),材料承受壓應力(σxx < 0);在多餘半原子面“消失”的一側(y < 0),材料承受拉應力(σxx > 0)。
概念
刃位錯具體體現位錯又可稱為差排(英語:dislocation),在材料科學中,指晶體材料的一種內部微觀缺陷,即原子的局部不規則排列(晶體學缺陷)。從幾何角度看,位錯屬於一種線缺陷,可視為晶體中已滑移部分與未滑移部分的分界線,其存在對材料的物理性能,尤其是力學性能,具有極大的影響。“位錯”這一概念最早由義大利數學家和物理學家維托·伏爾特拉(Vito Volterra)於1905年提出。
理想位錯主要有兩種形式:刃位錯(edge dislocations)和 螺位錯(screw dislocations)。混合位錯(mixed dislocations)介乎前面兩者之間。
一個刃位錯(b = 伯格斯矢量)數學上,位錯屬於一種拓撲缺陷,有時稱為“孤立子”或“孤子”。這一理論可以解釋實際晶體中位錯的行為:可以在晶體中移動位置,但自身的種類和特徵在移動中保持不變;方向(伯格斯矢量)相反的兩個位錯移動到同一點,則會雙雙消失,或稱“湮滅”,若沒有與其他位錯發生作用或移到晶體表面,那么任何單個位錯都不會自行“消失”(即伯格斯矢量始終保持守恆)。
刃位錯的表現位錯是晶體中最為常見的缺陷之一,它對晶體材料的各種性質都有程度不同的影響,很早就被人們關注和研究,有了比較成熟的理論和大量的實驗研究成果。
晶體在結晶時受到雜質﹑溫度變化或振動產生的應力作用,或由於晶體受到打擊﹑切削﹑研磨等機械應力的作用,使晶體內部質點排列變形,原子行間相互滑移,而不再符合理想晶體的有秩序的排列,由此形成的缺陷稱位錯。位錯是原子的一種特殊組態,是一種具有特殊結構的晶格缺陷,因為它在一個方向上尺寸較長,所以被稱為線狀缺陷。位錯的假說是在30年代為了解釋金屬的塑性變形而提出來的,50年代得到證實。位錯的存在對晶體的生長、相變、擴散、形變、斷裂、以及其他許多物理化學性質都有重要影響,了解位錯的結構及性質,對研究和了解金屬尤為重要,對了解陶瓷等多晶體中晶界的性質和燒結機理,也是不可缺少的。
分類

從位錯的幾何結構來看,可將它們分為兩種基本類型:即刃型錯和螺型錯。二者都屬於線缺陷。
刃型位錯設有一簡單立方結構的晶體,在切應力 的作用下發生局部滑移,發生局部滑移後晶體內在垂直方向出現了一個多餘的半原子面,顯然在晶格內產生了缺陷,這就是位錯,這種位錯在晶體中有一個刀刃狀的多餘半原子面,所以稱為刃型位錯。位錯線的上部鄰近範圍受到壓應力,而下部鄰近範圍受到拉應力,離位錯線較遠處原子排列正常。通常稱晶體上半部多出原子面的位錯為正刃型位錯,用符號“┴”表示,反之為負刃型位錯,用“┬”表示。當然這種規定都是相對的。
特點
刃位錯特點1).刃型位錯有一個額外的半原子面。一般把多出的半原子面在滑移面上邊的稱為正刃型位錯,記為“┻”;而把多出在下邊的稱為負刃型位錯,記為“┳”。其實這種正、負之分只具相對意義而無本質的區別。
2).刃型位錯線可理解為晶體中已滑移區與未滑移區的邊界線。它不一定是直線,也可以是折線或曲線,但它必與滑移方向相垂直,也垂直於滑移矢量。
3).滑移面必定是同時包含有位錯線和滑移矢量的平面,在其他面上不能滑移。由於在刃型位錯中,位錯線與滑移矢量互相垂直,因此,由它們所構成的平面只有一個。
4).晶體中存在刃型位錯之後,位錯周圍的點陣發生彈性畸變,既有切應變,又有正應變。就正刃型位錯而言,滑移面上方點陣受到壓應力,下方點陣受到拉應力:負刃型位錯與此相反。
5).在位錯線周圍的過渡區(畸變區)每個原子具有較大的平均能量。但該區只有幾個原子間距寬,畸變區是狹長的管道,所以刃型位錯是線缺陷。
關聯
刃位錯與螺位錯存在著很多區別,它們主要的不同點是:
(1)刃型位錯具有一個額外的半原子面,而螺型位錯無;
(2)刃型位錯必須與滑移方向垂直,也垂直與滑移矢量;而螺型位錯線與滑移矢量平行,且位錯線的移動方向與晶體滑移方向互相垂直。
(3)刃型位錯的滑移線不一定是直線,可以是折線或曲線;而螺位錯的滑移線一定是直線。
(4)刃位錯的滑移面只有一個,其不能在其他面上進行滑移;而螺位錯的滑移面不是唯一的。
(5)刃位錯周圍的點陣發生彈性畸變,既有切應變,又有正應變,螺位錯只有切應變而無正應變
刃位錯的攀移
刃位錯刃位錯的攀移位錯可以在包含了其伯格斯矢量和位錯線的平面內滑移。螺位錯的伯氏矢量平行於位錯線,因此它可以在位錯線所在的任何平面內滑移。而刃位錯的伯氏矢量垂直於位錯線,所以它只有一個滑移面。但刃位錯還有一種在垂直於其滑移面方向上的運動方式,這就是攀移,即構成刃位錯的多餘半原子面的伸長或縮短。
攀移的驅動力來自於晶格中空位的運動。如圖9所示,若一個空位移到了刃位錯滑移面上與位錯線相鄰的位置上,則位錯核心處的原子將有可能“躍遷”到空位處,造成半原子面(位錯核心)向上移動一個原子間距,這一刃位錯“吸收”空位的過程稱為正攀移。若反之,有原子填充到半原子面下方,造成位錯核心向下移動一個原子間距,則稱為負攀移。
由於正攀移導致了多餘半原子面的退縮,所以將使晶體在垂直半原子面方向收縮;反之,負攀移將使晶體在垂直半原子面方向膨脹。因此,在垂直半原子面方向施加的壓應力會促使正攀移的發生,反之拉應力則會促使負攀移的發生。這是攀移與滑移在力學影響上的主要差別,因為滑移是由剪應力而非正應力促成的。
位錯的滑移與攀移另一處差異在於溫度相關性。溫度的升高能大大增加位錯攀移的機率。相比而言,溫度對滑移的影響則要小得多。
