基本介紹
出度
出度
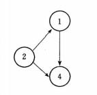
出度在無向圖中,頂點所具有的邊的數目稱為頂點的 度。如圖1(a)中.無向圖的頂點的度為3,頂點的度為2。
出度
出度
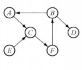
出度在有向圖中,以頂點為頭的邊的數目稱為該頂點的 入度;以頂點為尾的邊的數目稱為該頂點的 出度;一個頂點的入度與出度之和稱為該頂點的 度。如圖1中,有向圖的頂點的入度為2,出度也是2,頂點的度則為4。
圖1(a)G₁
圖1(b)G₂
出度
出度
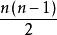
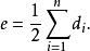
出度設無向圖有個頂點,e條邊,每個頂點的度為,則有 :
出度相關概念
圖的定義
出度
出度
出度
出度一個圖由一個非空有限頂點集和一個邊的有限集組成。圖的頂點集和邊集分別用和表示,則圖G可表示成。
出度
出度
出度
出度
出度
出度
出度
出度
出度
出度
出度在圖中,若每條邊都用箭頭指明了方向,則稱此圖為 有向圖,否則為 無向圖。有向圖中的邊用表示,其中是有向圖的兩個頂點,稱為尾,稱為頭,在有向圖中用從到的箭頭表示,見圖2(a)。無向圖中的邊用表示,為無向圖的兩個頂點。圖2(b)是無向圖。無向圖的邊是無序的,也就是說與表示同一條邊。
出度
出度
出度從圖2中可知,(b)是一棵樹,而(a)不是樹,所以說樹是圖的特例。具有n個頂點的無向圖,若有條邊,稱之為 完全圖。圖2中(c)便是一個完全圖。具有n個頂點的無向圖,至多有條邊;具有n個頂點的有向圖,則至多有條邊 。
出度 | 出度 | 出度 |
出度 | 出度 | 出度 |
子圖
出度
出度
出度
出度
出度
出度設圖的頂點集和邊集為和,圖的頂點集和邊集為和,若:
出度
出度
出度
出度
出度
出度
出度則稱圖是圖的子圖。例如,圖2中圖是圖的子圖,圖是圖的子圖 。

出度
出度
出度
出度
出度
出度 