簡介
通常將入射光與法線所成角為入射角,出射光與法線所成角為出射角。出射光線包括反射光線和折射光線。
出射光線
定義
入射光線經物體反射或者折射後射出的光線,叫出射光線。與入射光線是一個對立的光學名詞。
反射光線
在介質交界面反射回原介質的現象叫做光的反射,被反射出來的光線稱為反射光線, 入射到交界面的光線稱為入射光線。先有入射光線之後,才有反射光線的。
在光的反射中:
1、反射光線與入射光線、法線處於同於平面內(三線共面);
2、反射角(反射光線與法線的夾角)等於入射角(入射光線與法線的夾角)(根據邏輯原則,這裡不能說“入射角等於反射角”)(二角相等);
3、反射光線與入射光線分居在法線兩側。(兩線異側)
註:實際上不存在光線,光是一種波和粒子,光的反射原理也有誤,因為根據光的反射原理,如果將遙遠光源用凸透鏡聚焦成一點,那么這一點的亮度將無限大,但這在物理學上不成立,因為物理學上不能有無限,實際上它不會成為一點,只會變成一個牛眼狀的光圈。
折射光線
(1)定義
當一束光線在一種介質斜射入另一種介質或在同一種不均勻介質中傳播時,方向發生偏折後形成的光線。
(2)光的折射定律
由荷蘭數學家斯涅爾發現,是在光的折射現象中,確定折射光線方向的定律。當光由第一媒質(折射率n1)射入第二媒質(折射率n2)時,在平滑界面上,部分光由第一媒質進入第二媒質後即發生折射。
實驗指出:(1)折射光線位於入射光線和界面法線所決定的平面內;(2)折射線和入射線分別在法線的兩側;(3)入射角i的正弦和折射角i′的正弦的比值,對摺射率一定的兩種媒質來說是一個常數。
淺顯的說,就是光由光速大的介質中進入光速小的介質中時,折射角小於入射角;從光速小的介質進入光速大的介質中時,折射角大於入射角。
此定律是幾何光學的基本實驗定律。它適用於均勻的各向同性的媒質。用來控制光路和用來成象的各種光學儀器,其光路結構原理主要是根據光的折射和反射定律。此定律也可根據光的波動概念導出,所以它也可套用於無線電波和聲波等的折射現象。
(3)折射定律(law of refraction) 或斯涅爾定律(Snell's Law)
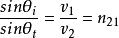
光線通過兩介質的界面折射時,確定入射光線與折射光線傳播方向間關係的定律,幾何光學基本定律之一。入射光線與通過入射點的界面法線所構成的平面稱為入射面,入射光線和折射光線與法線的夾角分別稱為入射角和折射角,以 θi和 θt表示。折射定律為:
①折射光線在入射面內;②入射角和折射角的正弦之比為一常數,用 n表示,即
出射角式中 n稱為第二介質對第一介質的相對摺射率。

