簡介
凹透鏡亦稱為負球透鏡,鏡片的中央薄,周邊厚,呈凹形,所以又叫凹透鏡。凹透鏡對光有發散作用。平行光線通過凹球面透鏡發生偏折後,光線發散,成為發散光線,不可能形成實性焦點,沿著散開光線的反向延長線,在投射光線的同一側交於F點,形成的是一虛焦點。
工作原理
凹透鏡成像的幾何作圖與凸透鏡者原則相同。從物體的頂端亦作為兩條直線:一條平行於主光軸,經過凹透鏡後偏折為發散光線,將此折射光線相反方向返回至主焦點;另一條通過透鏡的光學中心點,這兩條直線相交於一點,此為物體的像。用途
凹透鏡所成的像總是小於物體的、直立的虛像,凹透鏡主要用於矯正近視眼。近視眼主要是由於晶狀體的變形,導致光線過早的集合在了視網膜的前面。凹透鏡則起到了發散光線的作用,使像距變長,恰好落在視網膜上了。兩側面均為球面或一側是球面另一側是平面的透明體,中間部分較薄,稱為凹透鏡。在光疏介質中使用時,能對入射光束起發散作用,故又稱發散透鏡。又因其焦距為負,又稱負透鏡。對薄的凹透鏡,成像公式、橫向放大率公式和符號法則均與凸透鏡同。
使用說明
分為雙凹、平凹及凸凹透鏡三種。其兩面曲率中心之連線稱為主軸,其中央之點O稱為光心。通過光心的光線,無論來自何方均不折射。平行主軸之光束,照於凹透鏡上折射後向四方發散,逆其發散方向的延長線,則均會於與光源同側之一點F,其折射光線恰如從F點發出,此點稱為虛焦點。在透鏡兩側各有一個。凹透鏡又稱為發散透鏡。凹透鏡的焦距,是指由焦點到透鏡中心的距離。透鏡的球面曲率半徑越大其焦距越長,如為薄透鏡,則其兩側之焦距相等。凹透鏡所成的像總是小於物體的
成像規律
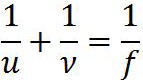
經凹透鏡成正立縮小虛像,物與像在透鏡同一側。 1/u(物距)+1/v(像距)=1/f(透鏡焦距)透鏡成像公式

凹透鏡成像規律
薄凹透鏡
當物體為實物時,成正立、縮小的虛像,像和物在透鏡的同側;
厚的彎月形凹透鏡
情況會更複雜。當厚度足夠大時相當於伽利略望遠鏡,厚度更大時還會相當於正透鏡。用途
近視眼鏡是凹透鏡 凹透鏡對光線起發散作用, 凹透鏡成一個正立、縮小的虛像,像物同側,v

