指高爐煉鐵過程中爐料在高爐內的停留時間。是表征下料速度的指標,可通過下式計算
公式一式中T為冶煉周期,h;P為生鐵日產量,t;V`為每噸生鐵所需爐料的體積,m/t;ζ為爐料在爐內的平均體積壓縮率,其值取決於原料條件及爐容。根據中國鞍山鋼鐵公司的測定,1000m左右的高爐,此值為12%~16%(爐容大取大值)。由於有效容積利用係數 ηv=P/ VU 故上式亦可表示為
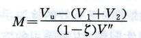
公式三在實際操作中,習慣用下料批數來間接表示冶煉周期長短,計算式為
公式二式中M為下料批數,批;V1為爐喉料面以上空間體積,m;V2為風口以下爐缸容積,m;V``為每批料的爐外容積,m。冶煉周期也是評價冶煉強化程度的指標之一。在一定原料條件下,冶煉周期愈短,利用係數愈高,意味著生產愈強化。小高爐料柱短,冶煉周期也較短(如13m高爐約為3h,1000m以上高爐則達6~8h)。如爐容相同,矮胖高爐易接受風量且料柱相對較短,故冶煉周期較短,如中國首都鋼鐵公司1000m級矮胖高爐冶煉周期只4~6h。
