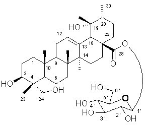
【英文名】 Pedunculoside
【分子式】 C36H58O10
【分子量】 650
【CAS號】 42719-32-4
【檢測方式】高效液相色譜法HPLC≥98%
【規格】20mg 50mg 100mg 500mg 1g (可根據客戶需求包裝)
【性狀】 本品為白色針狀結晶
【作用與用途】本品用於含量測定。
【提取來源】本品為冬青科冬青屬植物鐵冬青ilex rotunda Thunb.的樹皮
【藥理性質】清熱解毒,消腫止痛。用於感冒,扁桃體炎,咽喉腫痛,急性胃腸炎,風濕骨痛;外用治跌打損傷,癰癤瘡瘍,外傷出血,燒燙傷。熔點:206~207℃
【用法】色譜條件:60%甲醇為流動相,檢測波長213nm (僅供參考)
【貯藏方法】 2-8°C,避光保存。
【注意事項】 本品應在低溫下保存,長時間在暴露在空氣中,含量會有所降低。
【質量承諾】 非人為造成的產品質量問題,我司負責退貨換貨。
具棲冬青苷