技術政策和技術路線
1.公路養護應遵循的技術政策
(1)預防為主、防治結合。要根據歷年積累的技術經濟資料和當地的具體情況,通過科學分析,預作防範,消除導致公路損壞的因素,增強公路設施的耐久性和抗災能力。特別要做好雨季的公路防護工作,以減少水毀損失。
(2)因地制宜、就地取材。在養護中應儘量選用當地天然材料和工業廢渣,充分利用原有工程材料和工程設施,以降低養護成本。
(3)常年養護、科學養護。要推廣套用國內外先進的養護技術和科學的管理方法,改善養護生產手段,提高養護技術水平,並做到常年養護不鬆懈。
(4)重視綜合治理,保護生態平衡,保護路旁景觀和文物古蹟,防止環境污染,注意少占農田。
(5)全面貫徹執行《公路橋樑養護管理工作制度》,加強橋樑的檢查、維修、加固和改善,逐步消除危橋。
(6)公路路面質量的改善提高應符合國家有關公路技術改造的方針、政策和《公路工程技術標準》(JTG B01—2014)的規定,施工時應注重社會效益,保障公路暢通。
(7)加強以路面養護為中心的全面養護,大力推廣和發展公路養護機械化。
2.公路養護工程技術措施應遵循的原則
(1)認真開展路況調查,分析公路技術狀況,針對病害產生的原因和後果,採取有效、先進、經濟的技術措施。
(2)加強養護工程的前期工作、各種材料試驗及施工質量檢驗和監理,確保工程質量。
(3)推廣路面、橋樑管理系統,逐步建立公路資料庫,實行病害監控,實現決策科學化,使有限的資金髮揮最大的效益。
(4)推廣GBM工程,實施公路的科學養護與規範化管理,研究、推廣先進合理的公路養護作業形式。
(5)認真做好公路交通情況調查工作,積極開發並採用自動化觀測和計算機處理技術,為公路規劃、設計、養護、管理、科研以及社會各相關方面提供全面、準確、連續、可靠的交通信息資料。
(6)提高養護機械化水平,管好、用好現有的養護機具設備,積極引進、改造、研製新型養護機械。
(7)加強對交通設施(包括標誌、標線、通信、監控等)、收費設施、服務管理設施等的設定、維護、更新工作,保障公路應有的服務水平。
3.公路養護質量考核與管理
對於新建公路有質量驗收標準和評定辦法,對於公路養護的質量也同樣要進行質量考核。公路養護的質量要求如下:
(1)公路路面整潔,橫坡適度,行車舒適;路肩整潔,排水暢通;構造物完好;沿線設施完善;綠化協調美觀,力爭構成暢、潔、綠、美的公路交通環境。
(2)公路養護質量的考核,應根據路況實際達到質量要求的程度,劃分為優、良、中、次、差五個等級,作為衡量養護質量的主要指標。具體評定方法按《公路技術狀況評定標準》(JTG H20--2007)執行。
(3)橋樑的養護管理工作,除考核橋樑的完好程度外,應創造條件定期檢查其實際承載能力。
公路養護的基本原則
公路養護管理工作需遵循“以人為本、安全第一、養護優先、依法治路、科技支撐、體制創新”原則。
(1)以人為本。以公眾出行需求為導向,強化公路綜合服務體系和服務能力建設,始終把“更好地為公眾服務”作為養護管理工作的出發點和落腳點,拓展服務內涵、豐富服務形式、提升服務品質。
(2)安全第一。把保障公眾生命財產安全作為首要任務。健全標準體系,強化安全監管,消除安全隱患。完善應急管理體系,強化運行機制,加快隊伍建設,提高公路安全和應急保障能力。
(3)養護優先。強化公路養護管理的基礎性地位,建立穩定的養護資金渠道,加大養護投入,加強公路養護和保護,充分發揮現有公路基礎設施的使用效率。
(4)依法治路。健全法律法規體系,明確公路養護管理的法律地位,提高執法人員素質,推進依法履職、依法行政,加大公路保護力度。創新管理手段,提高管理效能,降低管理成本,增強管理透明度。
(5)科技支撐。加大自主創新力度,完善技術體系,實現科學決策,推進公路養護管理的技術進步。強化環保意識,推行綠色養護,發展預防性養護、再生利用、安全監測等技術,提高養護管理的信息化、智慧型化水平,促進人、車、路、自然和諧發展。
(6)體制創新。本著“層級清晰、事權明確、權責一致、運轉高效”的原則,深化公路管理體制改革,理順事權關係,建立適應燃油稅費改革需要和公路網管理特|生的公路管理體制。
分類
公路養護方式分類
(一)常年養護里程:
固定工人養護里程:是指由國家固定工人(包括大集體工人)組成的道班進行養護的里程數。
固定工和非固定工共養里程:是指由國家固定工人和非固定工共同組成道班養護的公路里程。
民眾養護里程:系指由常年代表工進行養護的公路里程。
(二)季節性養護里程:指臨時組織人員進行季節性養護的里程。
用路部門自養里程:是指工廠、礦山、農場、林場等單位對其專用公路自行養護的公路里程。
公路養護質量狀況分類
公路養護質量分為:優、良、次、差四等。詳見《交通部公路養護質量檢查評定暫行辦法》。
優等路:是指總分在90分以上(含90分),並且路面在45分以上,路基在15分以上,其它各項不低於6分。
良等路:是指總分在75分以上(含75分),並且路面在38分以上。
次等路:是指總分在60分以上75分以下。
差等路:是指總分不足60分。
公路養護質量考核評價
為加強公路養護管理工作,切實掌握公路質量變化情況,統一考核養路工作效果,建立養護工作約束激勵機制,科學合理的使用養護資金,我國公路交通主管部門每年都會對所轄公路進行養護質量考核評價工作。現有的公路養護質量考核有兩種指標:一是公路技術狀況綜合評定;二是養護質量等級評定。
公路技術狀況綜合評定
公路技術狀況綜合評定包含路面、路基、橋涵構造物、沿線設施四部分內容。公路技術狀況用公路技術狀況指數MQI和相應分項指標表示,MQI和相應分項指標的值域均為0~100。
公路技術狀況指數MQI可按下式計算:
公路養護里程
公路養護里程式中: ——PQI在MQI中的權重,取值為0.70;
公路養護里程——SCI在MQI中的權重,取值為0.08;
公路養護里程——BCI在MQI中的權重,取值為0.12;
公路養護里程——TCI在MQI中的權重,取值為0.10;
PQI——路面使用性能指數,根據PCI、RQI、RDI、SRI及相應權值進行計算;
ScI——路基技術狀況指數.根據路基各項病害及相應權值進行計算;
BCI——橋隧構造物技術狀況指數,根據橋隧各項病害及相應權值進行計算;
TCI——沿線設施技術狀況指數,根據沿線設施各項病害及相應權值進行計算。
根據公路技術狀況指數MQI得分結果,公路技術狀況可分為優、良、中、次、差五個等級。
| 評價等級 | 優 | 良 | 中 | 次 | 差 |
| 各級分項指標 | MQI≥90 | 80≤MQI〈90 | 70≤MQI〈80 | 60≤MQI〈70 | MQI〈60 |
養護質量等級評定
公路養護質量要求是:保持路面整潔、橫坡適度、行車舒適;路肩整潔、邊坡穩定、排水暢通;構造物、隧道完好;沿線設施完善;綠化協調美觀。逐步實施GBM工程,力爭構成暢、潔、綠、路交通環境。根據上述要求,將公路養護質量分為優、良、次、差四個等級。
公路養護質量等級評定:以公里(km)為單位,以里程碑為界,按路面、路基構造物、橋涵隧道、沿線設施、綠化五項養護質量內容分別評分定等。總分定為100分,其中路面50,路基構造物20分,橋涵隧道、沿線沒施、綠化各10分。根據實地檢查評比結果,在1km範圍內,總分在90分以上(含90分,以下同),路面在45分以上,路基構造物在15分以上,橋涵隧道、沿線設施、綠化均不低於6分的定為優等路;總分在75分以上,並目.路面在38分以上的定為良等路;總分在60分以上的定為次等路;總分不足60分的定為差等路。
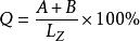
上述優等路的四個條件中,如有任何一條達不到要求,即定為良等路;良等路兩個條件中,如果有一條達不到要求即定為次等路。以優、良等路里程占實際評定的養護里程的百分比,即“好路率”作為評定養護質量的主要指標。好路率的計算公式為:
公路養護里程式中:Q——好路率,%;
A——優等路里程,km;
B——良等路里程,km;
公路養護里程——檢查評比路段之總里程,km。
為了綜合衡量公路養護質量(包括優等路和差等路的增減),便於兄弟單位之問的評比,除統計好路率外,還應採用“加權平均方法”求得養護質量綜合值,以便比較,即將優、良、次、差各等級里程分別乘以100、80、50、20四個係數,相加後除以實際評定的養護里程而得,其計算公式為:
公路養護里程式中:G——養護質量綜合值;
A、B、C、D——分別為優、良、次、差各等級路的里程,km;
公路養護里程——養護總里程,km。

