步驟
公式法1.化方程為一般式:
公式法2.確定判別式,計算Δ(希臘字母,音譯為戴爾塔)。;
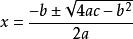
公式法3.若Δ>0,該方程在實數域內有兩個不相等的實數根:;
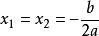
公式法若Δ=0,該方程在實數域內有兩個相等的實數根:;
公式法若Δ<0,該方程在實數域內無解,但在虛數域內有兩個共軛復根,為。
證明
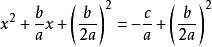
任何一元二次方程組都能寫成一般形式:
公式法①
運用配方法能否解出①呢?
公式法移項,得.
公式法二次項係數化1,得.
公式法配方
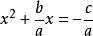
公式法即②
∵a≠0
∴4a >0
公式法的值有三種情況:
公式法1)
由②得
公式法∴
公式法2)
由②得
公式法3)
由②得<0
∴實數範圍內,此方程無解
判別式
公式法
公式法
公式法一般的,式子叫做方程的 判別式,通常用希臘字母Δ表示它,即 .
求根公式
公式法
公式法
公式法綜上所述,當Δ≥0時,方程的實數根可寫為的形式,這個式子叫做一元二次方程的 求根公式,通過求根公式可知,一元二次方程的根只可能有 兩個(有相同的算兩個)。
注意事項
一定不會出現不能用公式法解一元二次方程的情況。
但在能直接開方或者因式分解時最好用直接開方法和分解因式法。

