概況
2014年數據由於人均GDP並不是衡量人類發展的唯一指標,因此人類發展指數另外加入兩個與生活質量有關的指標——健康和教育。HDI是衡量一個國家經濟社會發展水平的指標,以“收入水平、教育水平、平均壽命、嬰兒死亡率”等變數按照一定的方法計算而成。HDI接近1.00,說明該國家的經濟社會發展水平越高。聯合國開發計畫署2014年7月24日在日本東京發布最新的“2014年度人類發展指數”報告。
最新的人類發展報告由聯合國開發計畫署公布於2014年7月24日,實際上是在2013年數據的估計基礎上編制的。
數據
設定值
為構建該指數,每個指標都設定了最小值和最大值:
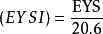
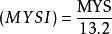
出生時預期壽命:25歲和85歲。
成人識字率:0%和100%;為15歲以上識字者占15歲以上人口比率。
綜合入學率:0%和100%;指學生人數占6至21歲人口比率(依各國教育系統的差異而有所不同)。
實際人均GDP(購買力平價美元):100美元和40000美元。
計算公式
2010年開始的新計算方法
1 預期壽命指數
全球富裕指數2 教育指數
全球富裕指數2.1 平均受教育年限指數
全球富裕指數2.2 預期受教育年限指數
全球富裕指數3 收入指數
全球富裕指數而HDI值為三個基本指數的幾何平均數,即
全球富裕指數優缺點
優點
計算所需數據容易獲得,而且受到公認。
缺點
下級指標的加權是任意的——總體解釋也是任意的
下級指數相互之間強烈相關(例如,收入和教育)
一些下級指標隨著收入上升而不能採用(例如,日本的期望壽命>1)
有時得出的順序為西方主流學術界所難以理解;例如:古巴的HDI排名高於土耳其。
沒有顧及基尼分配(基尼指數),只是國家平均。
某些群體的分割
沒有顧及性別(解決方法:GDI)
對指標的主觀評估
排名
該報告對187個國家或地區進行了排名,該指數通過平均壽命、入學率、人均GDP等計算得出。排名前列的國家以此為挪威,澳大利亞,瑞士,荷蘭,美國,德國,紐西蘭,加拿大,新加坡,丹麥。在亞洲,韓國與中國香港特區並列第15位,日本第17位。排名最後一位的是尼日。 中國首次邁入了“高人類發展指數”國家的行列,在187個國家中列第91位。
倒數排名的國家是185中非共和國,186剛果民主共和國,187尼日。
日本人平均預期壽命為82.7歲,居全球首位;而阿富汗人平均預期壽命為43.6歲,為全球最短。
列支敦斯登人均GDP為85383美元,居全球最高;剛果(金)人均GDP為298美元,處全球最低。
聯合國開發計畫署認定,全球人類發展狀況自1980年以來總體改善15%,中國、伊朗和尼泊爾改善幅度最大。
14年數據
排名及變化,國家或地區,人類發展指數,與之前一年的數據變化
1-25
1,▬ 挪威,0.944,▼ 0.011
2 ▬ 澳大利亞 0.933 ▼ 0.005
3 ▲ (6) 瑞士 0.917 ▲ 0.004
4 ▬ 荷蘭 0.915 ▼ 0.006
5 ▼ (2) 美國 0.914 ▼ 0.023
6 ▼ (1) 德國 0.911 ▼ 0.009
7 ▼ (1) 紐西蘭 0.910 ▼ 0.009
8 ▲ (3) 加拿大 0.902 ▼ 0.009
9 ▲ (9) 新加坡 0.901 ▲ 0.006
10 ▲ (5) 丹麥 0.900 ▼ 0.001
11 ▼ (4) 愛爾蘭 0.899 ▼ 0.017
12 ▼ (5) 瑞典 0.898 ▼ 0.018
13 ▬ 冰島 0.895 ▼ 0.011
14 ▲ (12) 英國 0.892 ▲ 0.017
15 ▼ (2) 香港 0.891 ▼ 0.015
15 ▼ (3) 韓國 0.891 ▼ 0.018
17 ▼ (7) 日本 0.890 ▼ 0.022
18 ▲ (6) 列支敦斯登 0.889 ▲ 0.006
19 ▼ (3) 以色列 0.888 ▼ 0.012
20 ▬ 法國 0.884 ▼ 0.009
21 ▼ (3) 奧地利 0.881 ▼ 0.014
21 ▼ (4) 比利時 0.881 ▼ 0.016
21 ▲ (5) 盧森堡 0.881 ▲ 0.006
24 ▼ (3) 芬蘭 0.879 ▼ 0.013
25 ▼ (4) 斯洛維尼亞 0.874 ▼ 0.018
26-49
26 ▼ (1) 義大利 0.872 ▼ 0.009
27 ▼ (4) 西班牙 0.869 ▼ 0.016
28 ▬ 捷克 0.861 ▼ 0.012
29 ▬ 希臘 0.853 ▼ 0.007
30 ▬ 汶萊 0.852 ▼ 0.003
31 ▲ (5) 卡達 0.851 ▲ 0.017
32 ▼ (1) 賽普勒斯 0.845 ▼ 0.003
33 ▬ 愛沙尼亞 0.840 ▼ 0.006
34 ▲ (23) 沙烏地阿拉伯 0.836 ▲ 0.054
35 ▲ (6) 立陶宛 0.834 ▲ 0.016
35 ▲ (4) 波蘭 0.834 ▲ 0.013
37 ▼ (4) 安道爾 0.830 ▼ 0.016
37 ▼ (2) 斯洛伐克 0.830 ▼ 0.010
39 ▼ (7) 馬爾他 0.829 ▼ 0.018
40 ▲ (1) 阿聯 0.827 ▲ 0.009
41 ▼ (1) 智利 0.822 ▲ 0.003
41 ▲ (2) 葡萄牙 0.822 ▲ 0.006
43 ▼ (6) 匈牙利 0.818 ▼ 0.013
44 ▲ (4) 巴林 0.815 ▲ 0.019
44 ▲ (15) 古巴 0.815 ▲ 0.035
46 ▲ (8) 科威特 0.814 ▲ 0.024
47 ▬ 克羅地亞 0.812 ▲ 0.007
48 ▼ (4) 拉脫維亞 0.810 ▼ 0.004
49 ▼ (4) 阿根廷 0.808 ▼ 0.003
50-75
50 ▲ (1) 烏拉圭 0.790 ▼ 0.002
51 ▼ (2) 巴哈馬 0.789 ▼ 0.005
51 ▲ (1) 黑山 0.789 ▼ 0.002
53 ▼ (3) 白俄羅斯 0.786 ▼ 0.007
54 ▲ (2) 羅馬尼亞 0.785 ▼ 0.001
55 ▲ (9) 利比亞 0.784 ▲ 0.015
56 ▲ (28) 阿曼 0.783 ▲ 0.052
57 ▼ (2) 俄羅斯 0.778 ▼ 0.010
58 ▼ (1) 保加利亞 0.777 ▼ 0.005
59 ▼ (21) 巴貝多 0.776 ▼ 0.049
60 ▼ (8) 帛琉 0.775 ▼ 0.016
61 ▲ (6) 安提瓜和巴布達 0.774 ▲ 0.014
62 ▲ (2) 馬來西亞 0.773 ▲ 0.004
63 ▲ (17) 模里西斯 0.771 ▲ 0.034
64 ▲ (3) 特立尼達和多巴哥 0.766 ▲ 0.006
65 ▲ (7) 黎巴嫩 0.765 ▲ 0.020
65 ▼ (6) 巴拿馬 0.765 ▼ 0.015
67 ▲ (4) 委內瑞拉 0.764 ▲ 0.016
68 ▼ (6) 哥斯大黎加 0.763 ▼ 0.010
69 ▲ (21) 土耳其 0.759 ▲ 0.037
70 ▼ (1) 哈薩克斯坦 0.757 ▲ 0.003
71 ▼ (10) 墨西哥 0.756 ▼ 0.019
71 ▼ (25) 塞席爾 0.756 ▼ 0.050
73 ▼ (1) 聖基茨和尼維斯 0.750 ▲ 0.005
73 ▲ (19) 斯里蘭卡 0.750 ▲ 0.035
75 ▲ (1) 伊朗 0.749 ▲ 0.007
76 ▲ (6) 亞塞拜然 0.747 ▲ 0.013
77-101
77 ▲ (23) 約旦 0.745 ▲ 0.045
77 ▼ (13) 塞爾維亞 0.745 ▼ 0.024
79 ▲ (6) 巴西 0.744 ▲ 0.014
79 ▼ (7) 喬治亞 0.744 ▼ 0.001
79 ▼ (16) 格瑞那達 0.744 ▼ 0.026
82 ▼ (5) 秘魯 0.737 ▼ 0.004
83 ▼ (5) 烏克蘭 0.734 ▼ 0.006
84 ▲ (12) 貝里斯 0.732 ▲ 0.030
84 ▼ (6) 馬其頓共和國 0.732 ▼ 0.008
86 ▼ (5) 波赫 0.731 ▼ 0.004
87 ▬ 亞美尼亞 0.730 ▲ 0.001
88 ▲ (8) 斐濟 0.724 ▲ 0.022
89 ▲ (14) 泰國 0.722 ▲ 0.032
90 ▲ (4) 突尼西亞 0.721 ▲ 0.009
91 ▲ (10) 中國 0.719 ▲ 0.020
91 ▼ (8) 聖文森特和格林納丁斯 0.719 ▼ 0.014
93 ▬ 阿爾及利亞 0.717 ▲ 0.004
93 ▼ (21) 多米尼克 0.717 ▼ 0.028
95 ▼ (25) 阿爾巴尼亞 0.716 ▼ 0.033
96 ▼ (11) 牙買加 0.715 ▼ 0.015
97 ▼ (9) 聖露西亞 0.714 ▼ 0.011
98 ▼ (7) 哥倫比亞 0.711 ▼ 0.008
98 ▼ (9) 厄瓜多 0.711 ▼ 0.013
100 ▲ (5) 蘇利南 0.705 ▲ 0.021
100 ▼ (5) 湯加 0.705 ▼ 0.005
世界平均
— ▲ (1) 世界平均 0.702 ▲ 0.008
102-123
102 ▼ (6) 多米尼加 0.700 ▼ 0.002
103 ▲ (1) 馬爾地夫 0.698 ▲ 0.010
103 ▲ (5) 蒙古國 0.698 ▲ 0.023
103 ▼ (1) 土庫曼斯坦 0.698 ▬
106 ▼ (10) 薩摩亞 0.694 ▼ 0.008
107 ▲ (3) 巴勒斯坦國 0.686 ▲ 0.016
108 ▲ (13) 印尼 0.684 ▲ 0.055
109 ▲ (10) 波札那 0.683 ▲ 0.049
110 ▲ (2) 埃及 0.682 ▲ 0.020
111 ▬ 巴拉圭 0.676 ▲ 0.007
112 ▼ (6) 加彭 0.674 ▼ 0.009
113 ▼ (5) 玻利維亞 0.667 ▼ 0.008
114 ▼ (1) 摩爾多瓦 0.663 ▲ 0.003
115 ▼ (8) 薩爾瓦多 0.662 ▼ 0.018
116 ▼ (2) 烏茲別克斯坦 0.661 ▲ 0.007
117 ▼ (3) 菲律賓 0.660 ▲ 0.006
118 ▲ (3) 南非 0.658 ▲ 0.029
118 ▼ (2) 敘利亞 0.658 ▲ 0.010
120 ▲ (11) 伊拉克 0.642 ▲ 0.052
121 ▼ (3) 蓋亞那 0.638 ▲ 0.002
121 ▲ (6) 越南 0.638 ▲ 0.021
123 ▲ (9) 維德角 0.636 ▲ 0.050
124-145
124 ▼ (7) 密克羅尼西亞聯邦 0.630 ▼ 0.015
125 ▲ (8) 瓜地馬拉 0.628 ▲ 0.047
125 ▬ 吉爾吉斯斯坦 0.628 ▲ 0.006
127 ▲ (1) 納米比亞 0.624 ▲ 0.016
128 ▲ (6) 東帝汶 0.620 ▲ 0.044
129 ▼ (9) 宏都拉斯 0.617 ▼ 0.015
129 ▲ (1) 摩洛哥 0.617 ▲ 0.026
131 ▼ (7) 萬那杜 0.616 ▼ 0.010
132 ▼ (3) 尼加拉瓜 0.614 ▲ 0.015
133 ▼ (12) 吉里巴斯 0.607 ▼ 0.022
133 ▼ (8) 塔吉克斯坦 0.607 ▼ 0.015
135 ▲ (1) 印度 0.586 ▲ 0.032
136 ▲ (4) 不丹 0.584 ▲ 0.046
136 ▲ (2) 高棉 0.584 ▲ 0.041
138 ▼ (3) 加納 0.573 ▲ 0.015
139 ▼ (1) 寮國 0.569 ▲ 0.026
140 ▲ (2) 剛果共和國 0.564 ▲ 0.030
141 ▲ (22) 尚比亞 0.561 ▲ 0.113
142 ▲ (4) 孟加拉國 0.558 ▲ 0.043
142 ▲ (2) 聖多美和普林西比 0.558 ▲ 0.033
144 ▼ (8) 赤道幾內亞 0.556 ▲ 0.002
145-166
145 ▲ (12) 尼泊爾 0.540 ▲ 0.077
146 ▬ 巴基斯坦 0.537 ▲ 0.022
147 ▼ (2) 肯亞 0.535 ▲ 0.016
148 ▼ (7) 史瓦濟蘭 0.530 ▼ 0.006
149 ▼ (1) 安哥拉 0.526 ▲ 0.018
150 ▼ (1) 緬甸 0.524 ▲ 0.026
151 ▲ (16) 盧安達 0.506 ▲ 0.072
152 ▼ (2) 喀麥隆 0.504 ▲ 0.009
152 ▲ (1) 奈及利亞 0.504 ▲ 0.033
154 ▲ (6) 葉門 0.500 ▲ 0.042
155 ▼ (4) 馬達加斯加 0.498 ▲ 0.015
156 ▲ (16) 辛巴威 0.492 ▲ 0.095
157 ▼ (1) 巴布亞紐幾內亞 0.491 ▲ 0.025
157 ▼ (14) 索羅門群島 0.491 ▼ 0.039
159 ▲ (10) 葛摩 0.488 ▲ 0.059
159 ▼ (7) 坦尚尼亞 0.488 ▲ 0.012
161 ▼ (6) 茅利塔尼亞 0.487 ▲ 0.020
162 ▼ (4) 賴索托 0.486 ▲ 0.025
163 ▼ (9) 塞內加爾 0.485 ▲ 0.015
164 ▼ (3) 烏干達 0.484 ▲ 0.028
165 ▲ (1) 貝寧 0.476 ▲ 0.040
166 ▲ (5) 蘇丹 0.473 ▲ 0.059
166-187
166 ▼ (7) 多哥 0.473 ▲ 0.014
168 ▼ (7) 海地 0.471 ▲ 0.015
169 ▲ (6) 阿富汗 0.468 ▲ 0.094
170 ▼ (6) 吉布地 0.467 ▲ 0.022
171 ▼ (3) 象牙海岸 0.452 ▲ 0.020
172 ▼ (7) 甘比亞 0.441 ▲ 0.002
173 ▬ 衣索比亞 0.435 ▲ 0.039
174 ▼ (4) 馬拉威 0.414 ▼ 0.004
175 ▼ (1) 賴比瑞亞 0.412 ▲ 0.024
176 ▲ (6) 馬里 0.407 ▲ 0.063
177 ▼ (1) 幾內亞比索 0.396 ▲ 0.032
178 ▲ (7) 莫三比克 0.393 ▲ 0.066
179 ▼ (1) 幾內亞 0.392 ▲ 0.037
180 ▼ (2) 蒲隆地 0.389 ▲ 0.034
181 ▲ (2) 布吉納法索 0.388 ▲ 0.045
182 ▼ (1) 厄利垂亞 0.381 ▲ 0.030
183 ▼ (6) 獅子山 0.374 ▲ 0.015
184 ▬ 查德 0.372 ▲ 0.032
185 ▼ (5) 中非共和國 0.341 ▼ 0.011
186 ▬ 剛果民主共和國 0.338 ▲ 0.034
187 ▼ (1) 尼日 0.337 ▲ 0.033

