作者介紹
克拉索夫斯基(1878~1948)Krasovski,KheodosiNikolaevich
蘇聯大地測量學家。蘇聯科學院通訊院士。1878年9月26日生於俄國科斯特羅馬州加利奇城,1948年10月1日卒於莫斯科。1900年畢業於莫斯科土地測量學院。1919年任土地測量學院院長。曾獲蘇聯列寧勳章和勞動紅旗勳章。克拉索夫斯基於1928年提出的天文大地網的計畫和方案,一直為蘇聯進行天文大地測量的原則。1942年他提出用投影法代替平展法整理天文大地網資料。1936年他推導出地球橢球的參數,1941年在他的推導下又推出地球橢球的新的參數:長半徑為6378245米;短半徑為6356863米;扁率為1∶298.3。1946年蘇聯將他推導出的地球橢球體的元素值作為其參考橢球參數,稱克拉索夫斯基橢球。著有《大地測量學》(與B.B.丹尼洛夫合編) 。
地球橢球的基本幾何參數
地球橢球是選擇的旋轉橢球,旋轉橢球的形狀和大小常用子午橢圓的五個基本幾何參數(或稱元素):
橢圓的長半軸: a
橢圓的短半軸: b
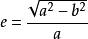
克拉索夫斯基橢球橢圓的扁率:
克拉索夫斯基橢球橢圓的第一偏心率:
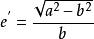
克拉索夫斯基橢球橢圓的第二偏心率:
克拉索夫斯基橢球
克拉索夫斯基橢球扁率反映了橢球體的扁平程度,如α=0時,橢球變為球體;α=1時,則為平面。和是子午橢圓的焦點離開中心的距離與橢圓半徑之比,它們也反映了橢球體的扁平程度,偏心率越大,橢球愈扁 。
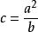
五個參數中,若知道其中的兩個參數就可決定橢球的形狀和大小,但其中至少應已知一個長度元素(如a或b),人們習慣於用a和表示橢球的形狀和大小,便於級數展開。引入下列符號:
克拉索夫斯基橢球
克拉索夫斯基橢球
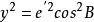
克拉索夫斯基橢球式中B為大地緯度,c為極曲率半徑(極點處的子午線曲率半徑),兩個常用的輔助函式,W第一基本緯度函式,V第二基本緯度函式:
克拉索夫斯基橢球
克拉索夫斯基橢球套用
建國以來,中國於上世紀50年代建立了1954年北京坐標系,54坐標系採用的是克拉索夫斯基橢球體。該橢球在計算和定位的過程中,沒有採用中國的數據,該系統在中國範圍內符合得不好,不能滿足高精度定位以及地球科學、空間科學和戰略武器發展的需要。
上世紀70年代,中國大地測量工作者經過二十多年的艱巨努力,終於完成了全國一、二等天文大地網的布測。經過整體平差,採用1975年IUGG第十六屆大會推薦的參考橢球參數,中國建立了1980西安坐標系,而GPS套用的是WGS-84系橢球參數。

