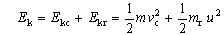
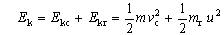
克尼希定理 質點系的總動能等於相對於質心繫的動能加上隨質心整體平移的動能。
克尼希定理
克尼希定理,質點系的總動能等於相對於質心繫的動能加上隨質心整體平移的動能。
克尼希定理 質點系的總動能等於相對於質心繫的動能加上隨質心整體平移的動能。
克尼希定理柯尼希定理(Konig's theorem)是質點系運動學、物理學中的一個基本定理。這條定理的正確性與質心繫是不是慣性系無關。
基本陳述 定律定義 推導過程 適用範圍 發展簡史數學定理列表(按字母順序排列) 以下列出了許多數學定理,供查閱與引用。
波希多尼(希臘語:Ποσειδώνιος,也做“羅德島的波希多尼”或“阿巴馬的波希多尼”,約前135年出生,前51年逝世)是一位古希臘斯多葛學派哲學家、...
生平 政府官員 旅行 教育 寫作克喇末-克勒尼希關係式(英語:Kramers–Kronig relations)是數學上連繫復面上半可析函式實數部和虛數部的公式。此關係式常用於物理系統...
公式定義 推導 物理理解藍柏格定理:為員工製造必要的危機感。壓力與動力是一對矛盾,並不是所有的壓力都能轉化成動力。壓力變成動力,需要一個轉化的條件,那就是壓力的承受者有承受壓力...
基本信息 定義 簡介 經典案例 管理啟示艾利亞斯的不可能性定理是在阿羅的不可能定理的基礎是發展起來的。
什麼是艾利亞斯的不可能性定理必須有一個目標要完成,才會集合個人成為一個集體去做事。
湯普林定理: 定理告訴我們: 故事 湯普林定理的管理啟示 相關定律質數定理是在公元前250年由古希臘數學家埃拉托塞尼提出的篩選素數的方法,即要得到不大於某個自然數N的所有素數,只要在2---N中將不大於√N的素數的倍數...
素數定理 初等證明 素數簡介弗蘭科·莫迪利安尼(FrancoModigliani,1918年6月18日-2003年9月25日),義大利籍美國人,第一個提出儲蓄的生命周期假設。這一假...
人物生平 主要貢獻 學術著作 相關圖書 個人自傳