基本陳述
柯尼希定理[力學的柯尼希定理]在物理學中,柯尼希定理是一個與質心繫下能量有關的定理。其文字表述是:質點系的總動能等於質心的動能,加上各質點相對於質心平動坐標系運動所具有的動能。也譯作克尼希定理
定律定義
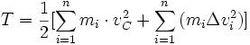
柯尼希定理[力學的柯尼希定理]式中:E為質點系的動能,m為總質量,v為質心速度,E 為質點系相對質心的動能
柯尼希定理表明: 質點系的動能等於質心平動動能與相對質心平動坐標系運動的動能之和。
推導過程
Ek=Σ1/2 MiVi^2
=Σ1/2 Mi(V相對+Vc)^2
=Σ1/2MiVc^2+ΣMiVcV相對+Σ1/2MiV相對^2
=Σ1/2MiVc^2+VcΣ(MiV相對)+Σ1/2MiV相對^2
由於C為質心,Σ(MiV相對)=0,故得證
上面的Vi、V相對、Vc均為矢量。
適用範圍
適用於牛頓力學。
發展簡史
該定律由Johann Samuel König於1751年提出。
![柯尼希定理[力學的柯尼希定理] 柯尼希定理[力學的柯尼希定理]](/img/7/30a/nBnauM3XwgTN4gzNzETN2QTN1UTM1QDN5MjM5ADMwAjMwUzLxUzL2UzLt92YucmbvRWdo5Cd0FmL0E2LvoDc0RHa.jpg)
