術語介紹
光譜密度spectral concentration以波長a為中心的微小波長寬度範圍內輻射量x(即輻通量、輻照度、輻亮度等)一與該波長寬度之比。xt幼=dXldd光譜密度用來表示光源在特定波長下所具有的能量,其相對值與波長之間的函式關係相對光譜功率分布是光源的主要特性。
光譜密度
光譜密度時間序列的功率譜 描述了信號功率在頻域的分布狀況。根據傅立葉分析,任何物理信號都可以分解成一些離散頻率或連續範圍的頻譜。對特定信號或特定種類信號(包括噪聲)頻率內容的分析的統計平均,稱作其頻譜。
光譜密度當信號的能量集中在一個有限時間區間的時候,尤其是總能量是有限的,就可以計算 能量頻譜密度。更常用的是套用於在所有時間或很長一段時間都存在的信號的 功率譜密度。由於此種持續存在的信號的總能量是無窮大,功率譜密度(PSD)則是指單位時間的光譜能量分布。頻譜分量的求和或積分會得到(物理過程的)總功率或(統計過程的)方差,這與帕塞瓦爾定理描述的將 在時間域積分所得相同。
光譜密度
光譜密度
光譜密度物理過程 的頻譜通常包含與 的性質相關的必要信息。比如,可以從頻譜分析直接確定樂器的音高和音色。電磁波電場 的頻譜可以確定光源的顏色。從這些時間序列中得到頻譜就涉及到傅立葉變換以及基於傅立葉分析的推廣。許多情況下時間域不會具體用在實踐中,比如在攝譜儀用散射稜鏡來得到光譜,或在聲音通過內耳的聽覺感受器上的效應來感知的過程,所有這些都是對特定頻率敏感的。
不過本文關注的是時間序列(至少在統計意義上)已知,或可以直接測量(如經麥克風采集再由電腦抽樣)的情形。功率譜在統計信號處理與隨機過程的統計研究以及物理和工程中的許多其他領域中都很重要。通常情況下,該過程是時間的函式,但也同樣可以討論空間域的數據按空間頻率分解。
解釋
在物理學中,信號通常是波的形式,例如電磁波、隨機振動或者聲波。當波的頻譜密度乘以一個適當的係數後將得到每單位頻率波攜帶的功率,這被稱為信號的 功率譜密度(power spectral density, PSD)或者 譜功率分布(spectral power distribution, SPD)。功率譜密度的單位通常用每赫茲的瓦特數(W/Hz)表示,或者使用波長而不是頻率,即每納米的瓦特數(W/nm)來表示。
儘管並非一定要為信號或者它的變數賦予一定的物理量綱,下面的討論中假設信號在時域內變化。
定義
能量譜密度
光譜密度
光譜密度能量譜密度描述的是信號或者時間序列的能量如何隨頻率分布。這裡,能量這個術語是用作信號處理中的推廣含義;也就是說,信號 的能量 為
光譜密度
光譜密度能量譜密度對總能量有限的瞬變信號(也就是類似於脈衝信號的)最為適用。在這種情況下,帕塞瓦爾定理給出了用傅立葉變換表示信號能量的形式。
光譜密度
光譜密度
光譜密度
光譜密度
光譜密度這裡頻率 單位為Hz,即每秒周期數。經常使用角頻率。由於右邊的積分是信號的能量,被積函式 可以理解為頻率為{\displaystyle f}的信號中單位頻率包含的能量的密度函式。鑒於此,信號 的能量譜密度定義為
光譜密度
光譜密度
光譜密度
光譜密度
光譜密度
光譜密度
光譜密度
光譜密度
光譜密度
光譜密度
光譜密度
光譜密度
光譜密度
光譜密度
光譜密度舉一個物理上的例子來說明如何測量信號的能量譜密度,假設 表示阻抗為 的傳輸線上傳播的電脈衝的電勢(單位伏特),並假設傳輸線末端是一個匹配電阻器(因而所有脈衝能量都傳到電阻器上並且不會反射回來)。由歐姆定律, 時刻傳遞到電阻器的功率等於 ,因此總能量可以通過以時間為變數對 積分。要求得頻率 時的能量譜密度 ,可以在傳輸線和電阻器之間加入一個只允許感興趣的頻率附近的很窄頻率範圍 通過的帶通濾波器,並測量電阻器上消耗的總能量 。 處的能量譜密度的值為 。在此例子中,由於功率 的單位為 VΩ,能量{\displaystyle E(f)}的單位是 VsΩ= J,因此能量譜密度 的單位為 JHz。在許多情況下,常常不去除以 ,於是單位就會是 VsHz。
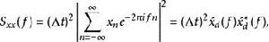
光譜密度這個定義直接地推廣到了有無窮個值的離散信號{\displaystyle x_{n}},比如一個離散時間採樣的信號
光譜密度
光譜密度
光譜密度
光譜密度
光譜密度
光譜密度其中 是{\displaystyle x_{n}}的離散傅立葉變換,而 是 的復共軛。採樣區間 需要保持正確的物理單位並確保我們能恢復極限情況下 連續的情況;不過在數學中往往將此區間設為1。
功率譜密度
上面能量譜密度的定義適用於能量集中在一個時間視窗附近的瞬變(脈衝狀信號);因此信號的傅立葉變換一般存在。對於持續存在的連續信號,如平穩過程,就必須定義功率譜密度(PSD);這描述了一個信號或時間序列的功率隨頻率的分布,正如前面給出的簡單例子一樣。在這裡,功率可以是實際的物理功率,不過更多時候,為了更方便用於抽象信號,簡單地確定為信號的平方值。例如,統計學系研究時間(或其他獨立變數)的函式x(t)的方差,並類比電信號,習慣稱之為功率譜,即使沒有涉及到物理上的功率。若要創建一個x(t)的物理電壓源並加在1歐姆的電阻器兩端,於是在電阻器上消耗的瞬時功率就會是x瓦特。
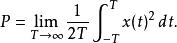
下面的時間平均給出了信號{\displaystyle x(t)}的平均功率P:
光譜密度注意平穩過程有可能功率有限但能量無限。畢竟,能量是功率的積分,而平穩信號持續無限長時間。這就是在這些情況下不能使用上面定義的能量譜密度的原因。
光譜密度
光譜密度在分析信號 的頻率內容時,可能會計算傅立葉變換 ;但許多感興趣的信號的傅立葉變換都不存在。{{#tag:ref|一些作者(比如Risken)仍舊使用非歸一化的傅立葉變換來定義功率譜密度
光譜密度
光譜密度其中 為狄拉克δ函式。這些形式陳述有時對引導直覺會比較有用,但要極其謹慎地使用。{{|group="N"}} 由於這種複雜性,可以用僅僅在有限區間 [0,T] 把信號積分的截短傅立葉變換 :
光譜密度因此功率譜密度可以被定義為
光譜密度這裡 E表示期望值;明確地,我們有
光譜密度
光譜密度
光譜密度
光譜密度
光譜密度
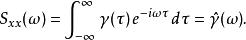
光譜密度在後面形式中(對一個平穩隨機過程來說),可以改換變數 ,隨著積分的極限(而非 [0,T])趨近於無窮,所得信號的功率譜密度 與自相關函式可視為傅立葉變換對(維納-辛欽定理)。自相關函式是一個定義為 的統計量(或更一般地,在X(t)是復值函式時為 )。倘若 是絕對可積的(並不總是如此),
光譜密度許多作者實際上用這個等式來定義功率譜密度。
光譜密度
光譜密度給定頻帶{\displaystyle [f_{1},f_{2}]}(或 )中信號的功率可以通過對頻率積分計算。由於 ,正、負頻率的功率相同,因而下面形式中的因子為2(這種因子取決於使用的慣例):
光譜密度更一般地,類似的技術可以被用來估計一個隨時間變化的光譜密度。更一般地,可以使用類似的方法來估計時變譜密度。在這種情況下上面定義的(0, T)上的截短傅立葉變換不是通過T趨近於無窮的極限計算的。這導致光譜覆蓋率和解析度降低,因為不會採樣小於1/T的頻率,而1/T的整數倍頻率的結果不是獨立的。
性質
•的譜密度的自相關組成一個傅立葉變換對(對於功率譜密度和能量譜密度來說,使用著不同的自相關函式定義)。
•通常使用傅立葉變換技術估計譜密度,但是也可以使用如Welch法(Welch's method)和最大熵這樣的技術。
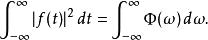
•傅立葉分析的結果之一就是Parseval定理(Parseval's theorem),這個定理表明能量譜密度曲線下的面積等於信號幅度平方下的面積,總的能量是:
光譜密度
光譜密度:上面的定理在離散情況下也是成立的。另外的一個結論是功率譜密度下總的功率與對應的總的平均信號功率相等,它是逐漸趨近於零的自相關函式。
相關概念
•大多數“頻率”圖實際上僅僅表示了譜密度。有時完整的頻率要用兩部分來表示,一部分是對應於頻率的“幅度”(它就是譜密度),另外一部分是對應於頻率的“相位”(它包含了頻譜中剩餘的其它信息)。信號 f(t) 可以從一個完整的頻譜進行恢復。需要注意的是 f(t) 不能僅僅從譜密度這一部分進行恢復——它丟失了“臨時信息”。
•信號的譜矩心(spectral centroid) 是譜密度函式的中點,也就是說將整個分布切分成兩個相等部分的點。
•譜密度是頻率的函式,而不是時間的函式。但是,也可以計算一個較長信號上一小段“視窗”的譜密度,並且根據與事件相關的視窗進行繪圖,這樣的圖形稱為頻譜圖(spectrogram)。這是短時傅立葉變換和小波等許多譜分析技術的基礎。
套用
電子工程
信號功率譜的概念和套用是電子工程的基礎,尤其是在電子通信系統中,例如無線電和微波通信、雷達以及相關係統。人們已經花費了很大的精力和大量的金錢投入到開發、生產“頻譜分析儀”這種電子設備,用來幫助電子工程師、技術人員、技工觀察、測量電子信號的功率譜。頻譜分析儀的價格根據頻寬和精度的不同而不同,質量最好的儀器的價格超過 100,000 美元。
色度學
主條目:Colorimetry
光源的頻譜是每個頻率攜帶的功率或者光源中“顏色”的度量。光譜通常是沿著可見光在波長空間而不是頻率空間測量的不同點(通常是 31 個點)進行測量,它不是嚴格意義上的譜密度。一些分光光度計能夠分辨高達 1 到 2納米的增量精度,測量值用來計算其它的規格然後繪製出來顯示光源的頻譜屬性。這對於分析特定光源的顏色特性來說是一個非常有用的工具。
