釋義
土壤是由孔隙和骨架組成的,屬於彈塑性體。水在一定程度上也屬於彈塑性體。地層中的一塊飽和土體受到附加壓力作用時,土體骨架顆粒位置要調整,孔隙率減小,孔隙中一部分水被擠壓出來。如果土體在受到附加壓力的同時,土體中的水體卻同時受到附加減小壓力,產生水的膨脹,因此也要釋放出一部分水,這樣兩者的綜合結果是都要釋放出部分水量。土壤這種在彈性階段的附加壓力作用下能釋放部分水量的性質稱為彈性釋放。如果發生相反的過程,土體又能蓄存部分水量,稱為彈性貯存,統稱貯水性。儲水率是表示含水層彈性釋水能力的參數
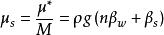
計算公式
儲水率(μ)是指當水頭降低(升高)一個單位時,在單位體積含水層中,由於水的彈性膨脹(或壓縮)及含水層的彈性壓縮(或膨脹)所釋放(或儲存)的水量。其量綱為[L ]。計算公式如下:
儲水率貯水率是含水層厚度和埋深的函式,含水層埋深愈深,土層愈密實,孔隙率愈小,貯水率也愈小,即可開採的彈性儲量愈少。
對於承壓含水層,只要水頭不降低到相對隔水頂板以下,水頭降低只引起含水層的彈性釋水,可用儲水率(μ)表示這種釋水的能力。對於潛水含水層,當水頭下降時,可引起兩部分水的排出。在上部潛水面下降部位引起重力排水,用給水度表示重力排水的能力;在下部飽水部分則引起彈性釋水,用儲水率表示這一部分的釋水能力。
儲水率估算常用數據
估算(μ)常用的數據:
①不含游離氣體的淡水壓縮係數
儲水率②含水層的壓縮係數β_s。在膠結、半膠結的岩層為10 ~10 m /kN,在沙土、黏土層為10 ~10 m /kN。
