計算方法
價格加權指數是把指數中的每個股票的市場價格加起來然後再除以指數中所有股票的數量。價格加權指數假設投資者購買指數中的每隻股票的數量都是一樣的。比如,每隻股票都買100股。因為該指數是以價格為權重來編制的,所以價格高的股票所占權重要比價格低的股票高。當股票進行拆細的時候,價格加權指數要進行調整。而市值加權指數在服票拆細的時候是無需調整的。
計算舉例
下表中加黑的部分是用來計算價格加權指數的數據,也就是說價格加權指數的計算與基期和考察期的股價有關,與市值無關,如果沒有拆細,與股本也沒有關係。
| 2006年12月31日 | 2007年12月31日 | |||||
| 股價 | 股本 | 市值 | 股價 | 股本 | 市值 | |
| 股票A | 30元 | 800 | 24000元 | 45元 | 800 | 36000元 |
| 股票B | 20元 | 1500 | 30000元 | 50元 | 1500 | 75000元 |
| 股票C | 40元 | 1000 | 40000元 | 36元 | 1000 | 36000元 |
| 合計 | 90元 | 131元 |
指數的具體計算過程如下:
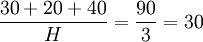
價格加權指數1.基期也就是2006年12月31日的價格加權指數是:
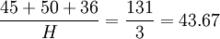
價格加權指數2.考察期也就是2007年12月31日的價格加權指數是:
H——指數中共有3隻股票
價格加權指數3.因此,價格加權指數一年的漲幅是:
缺點
1.高價股影響太大。這就和工商銀行在市值加權指數中的影響是一樣的道理。
2.指數向下的傾向,也就是說有低估的傾向。價格加權指數一旦開始運行,那么它的分母就必須不斷地進行調整以反映股票拆細和樣本的變化。當股票拆細之後,分母必須向下調整以維持指數在拆細前後的連續性和可比性。因為股票拆細之後,價格變小,要想維持指數不變就必須對分母作相應的調整。可是,分母的不斷向下調整帶來了這樣一個問題,就是使指數有偏低的傾向,因為快速成長的公司往往比成長慢的公司傾向於拆細。如此一來,大的成功的公司由於不斷地分拆股票而導致其股價不斷下降,進而導致其在指數中的影響不斷下降。
兩個主要指數
1.道瓊斯30種工業平均指數,它是只使用30隻股票的價格加權指數。針對該指數的批評主要有:
指數中的股票數量太少,代表性不夠。
這30個股票只代表紐約證券交易所里最大的30隻股票。不過,從1999年11月1日開始,該指數開始包括在納斯達克上市的股票,比如微軟公司等。
指數的計算有向下的傾向,也就是說有低估的傾向。
2.日經道瓊斯股票平均指數,簡稱日經225股票指數。該指數是東京證券交易所第一板塊的225隻股票價格的算術平均數。日經盟5指數僅僅代表東京證券交易所第一板塊的15%。它的計算方法和道瓊斯工業平均指數完全一樣。
參考文獻
1 賈國文.股票投資勝經:特許金融分析師眼中的股市[M].ISBN:978-7-80218-315-5/F830.91.中國宇航出版社,2008
