定義
航攝像片是地面景物的中心投影,地圖則是地面景物的正射投影,只有當地面水平且航攝像片也水平時,中心投影才與正射投影等效。當航攝像片有傾角或地面有高差時,所攝的像片與上述理想情況有差異。這種差異反映為一個地麵點在地面水平的水平像片上的構像與地面有起伏時或傾斜像片上構像的點位不同,這種點位的差異稱為像點位移,它包括像片傾斜引起的位移,其結果是使像片上的幾何圖形與地面上的幾何圖形產生變形以及像片上影像比例尺處處不等。
性質
因像片傾斜引起的像點位移
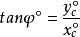
圖1 傾斜像片與水平像片的關係假定地面水平,在同一攝影中心S對地面攝取兩張像片,一張為傾斜像片P,另一張為水平像片P如圖所示,為了在兩者之間建立聯繫,像點坐標用以公共的等角點c為極點、以等比線為極軸的極坐標來表示,一對像點的極角和向徑,分別以ψ,ψ'和rr 來表示。根據平面直角坐標與極坐標的關係有:
像點位移
像點位移
像點位移
像點位移則:
像點位移
像點位移可以證明:
像點位移所以有:
像點位移由此可見,在傾斜像片上從等角點出發,引向任意像點的方向線,其方向角與水平像片上相應方向線的方向角恆等。
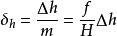
像點位移設地面一點上A在傾斜像片P上的構像為a,在水平像片P上的構像為a°,將傾斜像片繞等比線hh旋轉到與水平像片重合形成疊合圖形,見圖1。由於任意一對相應像點a與a°的極角ψ和ψ'總是相等的,所以疊合圖中兩向徑ca和ca°共線,因像片傾斜,兩向徑ca和ca°的長度不等,兩向徑之差稱為因像片傾斜引起的像點位移。
像點位移的大小與像片傾角a、像距ca以及方向角Φ有關,其近似表達式為:
像點位移式中:f為像片主距。
圖2 像片傾斜引起像點位移從上式可知:
像點位移①當Φ=0°,180°時,即位於等比線hh上的點,為零,無像點位移;
像點位移
像點位移②當Φ角在0°~180°之間,為負值,即朝向等角點位移;當f角在180°~360°之間,為正值,即背向等角點位移。
像點位移③當Φ=90°或270°時,sinΦ=±1,即r相同的情況下,主縱線上〡〡為最大值。
以上是因像片傾斜引起的像點位移的規律,這種位移表現為水平的地平面上任意一正方形在像片上的構像變為一個四邊形(如圖2);反之,像片上的一正方形影像對應於地面上的景物不一定是正方形。
因地形起伏引起的像點位移
圖3 地形起伏引起的像點位移
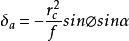
像點位移為便於討論,假設像片水平。設地麵點A距基準面有高差h,它在像片上的構像為a;地麵點A在基準面上的投影為A,A在像片上的構像為a。aa即為因地形起伏引起的像點位移,用表示,常稱為像片上投影差。將具有位移的像點a投影在基準面上為A',則AA'稱為地面上投影差,用△h表示。如圖3所示,根據相似三角形原理,可得:
像點位移
像點位移由於:
像點位移利用以上三式可得:
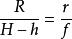
像點位移這就是像片上因地形起伏引起的像點位移的計算公式,式中r為a點以像底點n為中心的像距,H為攝影航高,R為地麵店到地底點的水平距離。
像點位移
像點位移
像點位移
像點位移由此可知,地形起伏引起的像點位移在以像底點為中心的輻射線上,當h為正時,為正,即離開像底點方向位移;當h為負時,為負,即朝向像底點方向位移;當r=0時,=0,還說明位於像底點處的像點不存在地形起伏引起的像點位移。
根據以上各式可得到地面上投影差的計算公式:
像點位移上述像點位移也同樣引起像片比例尺的變化及圖形變形,而且由於像底點不在等比線上,因此,綜合考慮像片傾斜和地形起伏的影響,像片上任意一點都存在像點位移,且位移的大小隨點位的不同而不同,由此導致一張像片上不同點位的比例尺不相等。

